И ОПЯТЬ ПРО "БУЛАВУ"

Автор mrvyrsky, 26.12.2008 02:45:38

« назад - далее »

0 Пользователи и 1 гость просматривают эту тему.

Старый

Цитироватьmahor11 пишет:
ЦитироватьНе раскрылся насадок - небольшой недобор скорости, небольшая потеря дальности. Так как пуск не на предельную дальность то вообще не должно сказаться.
А вот и нет! Именно в раскрытии полностью вся фишка!Тогда полная тяга и скорость, а если нет, то подрыв!Не раскроется сопло- не будет скорости и всё....
Где это вы такого понабирались?
1. Ангара - единственная в мире новая РН которая хуже старой (с) Старый Ламер
2. Назначение Роскосмоса - не летать в космос а выкачивать из бюджета деньги
3. У Маска ракета длиннее и толще чем у Роскосмоса
4. Чем мрачнее реальность тем ярче бред (с) Старый Ламер

mahor11

ЦитироватьГде это вы такого понабирались?
ЦитироватьДа во всяких книгах по ракетным двигателям. Там всякую лабудень :D  пишут про скорость истечения газов , тягу,удельный импульс, соотношение скоростей  в КС и на срезе сопла , работу при ОПРЕДЕЛЁННЫХ размерах камеры сгорания и т.д. :D  Вот не раскрылось сопло и нет нужной геометрии КС. И это у вас " незначительный недобор тяги"? :)  Кроме того ракета управляется на траектории изгибом сопла и ,если оно не вышло, то что будет с управляемостью по каналам тангажа и рысканья?  8)
Back in the  U.S.S.R !

Настрел

смотрю в книгу - вижу фигу. В классическом виде.

mahor11

Цитироватьсмотрю в книгу - вижу фигу. В классическом виде.
Тогда прямой вопрос : если ступень может лететь без раскрытия сопла, то для чего нужно городить механизм его раскрытия?  :D  :D  :D

Я прусь от дебилов, которые при виде чёрного квадрата кричат "белый"! :D  :D  :D
Принцип действия
Феномен ускорения газа до сверхзвуковых скоростей в сопле Лаваля был обнаружен в конце XIX в. экспериментальным путём. Позже это явление нашло теоретическое объяснение в рамках газовой динамики.
При следующем анализе течения газа в сопле Лаваля принимаются следующие допущения:
 
    [/li]
  • Газ считается идеальным.
  • Газовый поток является изоэнтропным (то есть имеет постоянную энтропию, силы трения и диссипативные потери не учитываются) и адиабатическим (то есть теплота не подводится и не отводится).
  • Газовое течение является стационарным и одномерным, то есть в любой фиксированной точке сопла все параметры потока постоянны во времени и меняются только вдоль оси сопла, причём во всех точках выбранного поперечного сечения параметры потока одинаковы, а вектор скорости газа всюду параллелен оси симметрии сопла.
  • Массовый расход газа одинаков во всех поперечных сечениях потока.
  • Влияние всех внешних сил и полей (в том числе гравитационного) пренебрежимо мало.
  • Ось симметрии сопла является пространственной координатой .
Отношение локальной скорости к локальной скорости звука обозначается числом Маха, которое также понимается местным, то есть зависимым от координаты :
 
    (1)
Из уравнения состояния идеального газа следует: , эдесь  — локальная плотность газа,  — локальное давление. С учётом этого, а также с учётом стационарности и одномерности потока уравнение Эйлера принимает вид:
 
,
что, учитывая (1), преобразуется в .     (2)
Уравнение (2) является ключевым в данном рассуждении.
 Рассмотрим его в следующей форме:

 
    (2.1)

Величины и характеризуют относительную степень изменяемости по координате плотности газа и его скорости соответственно. Причем уравнение (2.1) показывает, что соотношение между этими величинами равно квадрату числа Маха (знак минус означает противоположную направленность изменений: при возрастании скорости плотность убывает). Таким образом, на дозвуковых скоростях плотность меняется в меньшей степени, чем скорость, а на сверхзвуковых  — наоборот. Как будет видно дальше, это и определяет сужающуюся-расширяющуюся форму сопла.
Поскольку массовый расход газа постоянен:
 
,
где  — площадь местного сечения сопла,
 
::,
дифференцируя обе части этого уравнения по , получаем:
 
.
После подстановки из (2) в это уравнение, получаем окончательно:
 
    (3)
Заметим, что при увеличении скорости газа в сопле знак выражения положителен и, следовательно, знак производной определяется знаком выражения:
 
 

 

 Иллюстрация работы сопла Лаваля. По мере движения газа по соплу, его абсолютная температура Т и давление Р снижаются, а скорость V возрастает. М — число Маха.
 
 
 
Из чего можно сделать следующие выводы:
 
    [/li]
  • При дозвуковой скорости движения газа , производная  — сопло сужается.
  • При сверхзвуковой скорости движения газа , производная  — сопло расширяется.
  • При движении газа со скоростью звука , производная  — площадь поперечного сечения достигает экстремума, то есть имеет место самое узкое сечение сопла, называемое критическим.
Итак, на сужающемся, докритическом участке сопла движение газа происходит с дозвуковыми скоростями. В самом узком, критическом сечении сопла локальная скорость газа достигает звуковой. На расширяющемся, закритическом участке, газовый поток движется со сверхзвуковыми скоростями.
Перемещаясь по соплу, газ расширяется, его температура и давление падают, а скорость возрастает. Внутренняя энергия газа преобразуется в кинетическую энергию его направленного движения. КПД этого преобразования в некоторых случаях (например, в соплах современных ракетных двигателей) может превышать 70 %, что значительно превосходит КПД реальных тепловых двигателей всех других типов. Это объясненяется тем, что рабочее тело не передаёт механическую энергию никакому посреднику (поршню или лопастям турбины). В других тепловых двигателях на этой передаче имеют место значительные потери. Кроме того, газ, проходя через сопло на значительной скорости, не успевает передать его стенкам заметное количество своей тепловой энергии, что позволяет считать процесс адиабатическим. У реальных тепловых двигателей других типов нагрев конструкции составляет существенную часть потерь. Автомобильный двигатель, например, работает больше на радиатор охлаждения, чем на выходной вал.
 Скорость истечения газа из сопла
Из уравнения состояния идеального газа, и баланса энергии в газовом потоке выводится формула расчёта линейной скорости истечения газа из сопла Лаваля:[1]
 
    (4)
где:
 — Скорость газа на выходе из сопла, м/с,
 — Абсолютная температура газа на входе,
 — Универсальная газовая постоянная Дж/(киломоль·К),
 — молярная масса газа, кг/киломоль,
 — Показатель адиабаты ,
 — Удельная теплоёмкость при постоянном давлении, Дж/(киломоль·К),
 — Удельная теплоёмкость при постоянном объеме, Дж/(киломоль·К),
 — Абсолютное давление газа на выходе из сопла, Па
 — Абсолютное давление газа на входе в сопло, Па
 Функционирование в среде
При работе сопла Лаваля в непустой среде (чаще всего речь идет об атмосфере) сверхзвуковое течение может возникнуть только при достаточно большом избыточном давлении газа на входе в сопло по сравнению с давлением окружающей среды.
При возникновении сверхзвукового течения давление газа на выходном срезе сопла может оказаться даже меньше давления окружающей среды (вследствие перерасширения газа при движении по соплу). Такой поток может оставаться стабильным, поскольку давление окружающей среды (пока оно ненамного превышает давление газа на срезе сопла) не может распространяться против сверхзвукового потока.[источник не указан 1472 дня]
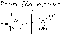
В общем случае удельный импульс сопла Лаваля (при работе как в среде, так и в пустоте) определяется выражением:
 
    (5)
Здесь  — скорость истечения газа из сопла, определяемая по формуле (4);  — площадь среза сопла;  — давление газа на срезе сопла;  — давление окружающей среды;  — секундный массовый расход газа через сопло.
Из выражения (5) следует, что удельный импульс и, соответственно, тяга ракетного двигателя в пустоте (при ) всегда выше, чем в атмосфере. Это находит отражение в характеристиках реальных ракетных двигателей: обычно для двигателей, работающих в атмосфере, указываются по два значения для удельного импульса и тяги — в пустоте и на уровне моря (например, РД-107).
Зависимость характеристик двигателя от давления газа на срезе сопла носит более сложный характер: как следует из уравнения (4), растёт с убыванием , а добавка  — убывает, и при становится отрицательной.
При фиксированном расходе газа и давлении на входе в сопло величина зависит только от площади среза сопла, которую обычно характеризуют относительной величиной — степенью расширения сопла — отношением площади конечного среза к площади критического сечения. Чем больше степень расширения сопла, тем меньше давление , и тем больше скорость истечения газа .
Рассматривая соотношение давления на срезе сопла и давления окружающей среды, выделяют следующие случаи.[2]
 
    [/li]
  •  — оптимальный режим расширения сопла, при котором удельный импульс достигает максимального значения (при прочих равных условиях). При этом, как следует из уравнения (5), удельный импульс становится численно равным скорости истечения газа .


 

 Иллюстрация работы радиусо-конического сопла на режиме перерасширения. Видно что отрыв потока произошел в сечении 0,04 метра.
 
 
 
    [/li]
  •  — режим перерасширения. Уменьшение степени расширения сопла (несмотря на уменьшение скорости истечения газа) приведёт к увеличению удельного импульса. При проектировании ракетных двигателей первых ступеней ракет конструкторы часто сознательно идут на перерасширение, поскольку с набором ракетой высоты атмосферное давление падает, уравнивается с давлением на срезе сопла, и удельный импульс двигателя возрастает. Таким образом, жертвуя тягой в начале полёта, получают преимущество на последующих его стадиях, что, как показывают расчёты и практика, в сумме даёт выигрыш в конечной скорости ракеты.
Однако, при значительном превышении давления окружающей среды над давлением в газовом потоке, в нём возникает обратная ударная волна, которая распространяется против потока со сверхзвуковой скоростью, тем большей, чем больше перепад давления на её фронте, что приводит к срыву сверхзвукового течения газа в сопле (полному или частичному). Это явление может стать причиной автоколебательного процесса, когда сверхзвуковое движение газа в сопле периодически возникает и срывается с частотой от нескольких герц до десятков герц. Для сопел ракетных двигателей, в которых происходят процессы большой мощности, эти автоколебания являются разрушительными, не говоря о том, что эффективность двигателя в таком режиме резко падает. Это накладывает ограничение на степень расширения сопла, работающего в атмосфере.

 
 

 

 Регулирование степени расширения сопла с насадком.
 1 — собственно сопло Лаваля;
 2 — сопловой насадок;
 А — положение насадка при работе в нижних, наиболее плотных, слоях атмосферы;
 В — положение насадка на большой высоте.
 
 
 
    [/li]
  •  — режим недорасширения. Недорасширение означает, что не вся внутренняя энергия газа израсходована на его ускорение и, увеличив степень расширения сопла, можно добиться увеличения скорости истечения газа и удельного импульса. В пустоте (при ) полностью избежать недорасширения невозможно.
При подстановке в формулу (4) получается теоретический предел скорости истечения в пустоте, определяемый внутренней энергией газа:
К этому пределу асимптотически стремится скорость истечения при неограниченном увеличении степени расширения сопла, при этом увеличивается длина, диаметр выходного сечения, и, следовательно, вес сопла. Конструктор сопла, работающего в пустоте, должен принять решение: при какой степени расширения дальнейшее увеличение размера и веса сопла не стоит того увеличения скорости истечения, которое может быть достигнуто в результате. Такое решение принимается на основании всестороннего рассмотрения функционирования всего аппарата в целом.
 
Вышесказанное объясняет то обстоятельство, что ракетные двигатели, работающие в плотных слоях атмосферы, как правило, имеют степень расширения меньшую, чем двигатели, работающие в пустоте. Например, у двигателя F-1 первой ступени носителя Сатурн-5 степень расширения составляет 16:1, а RL 10B-2 — двигатель, используемый NASA на ускорителях межпланетных зондов, имеет степень расширения равную 250:1.
Стремление добиться эффективной работы двигателя как на Земле, так и на высоте заставляет конструкторов искать технические решения, позволяющие достигнуть эту цель. Одним из таких решений явился подвижный сопловой насадок — «продолжение» сопла, которое пристыковывается к нему по достижении ракетой разреженных слоёв атмосферы, увеличивая, таким образом, степень расширения сопла. Схема действия насадка изображена на рисунке справа. Эта схема была практически реализована, в частности, в конструкции двигателя НК-33-1.
 
 

 

 Регулируемые сопла истребителя F-15
 
 
 
Проблема оптимизации степени расширения сопла очень актуальна и при разработке авиационных реактивных двигателей, поскольку самолёт предназначен для полётов в широком диапазоне высот, а от удельного импульса его двигателей в сильной мере зависит экономичность и, следовательно, дальность полёта. В современных турбореактивных двигателях применяются регулируемые сопла Лаваля. Такие сопла состоят из продольных пластин, имеющих возможность перемещения друг относительно друга, со специальным механизмом с гидравлическим или пневматическим приводом, позволяющим в полёте изменять площадь выходного и/или критического сечений, и, таким образом, добиваться оптимальной степени расширения сопла при полёте на любой высоте. Регулирование площади проходных сечений выполняется, как правило, автоматически специальной системой управления. Этот же механизм позволяет по команде пилота изменять в некоторых пределах и направление реактивной струи, а следовательно, направление вектора тяги, что существенно повышает маневренность самолёта.
 См. также Специально , для "тупорогих" выложил часть статьи из Вики : http://ru.wikipedia.org/wiki/%D1%EE%EF%EB%EE_%CB%E0%E2%E0%EB%FF

Таким образом, раздвигая сопло УВЕЛИЧИВАЮТ УДЕЛЬНЫЙ ИМПУЛЬС !  :D  :D
Back in the  U.S.S.R !

mahor11

ЦитироватьИз учебника Алемасова для совсем упёртых :

"1S. 2. 1. СОПЛО С ВЫДВИЖНЫМ НАСАДКОМ
Тяга такого сопла (рис. 15.5) складывается из тяги основного сопла, донной тяги, равной интегралу давления на торцевую поверхность, а также тяги, «снимаемой» с контура выдвижного насадка. Применение сопла с выдвижным насадком позволяет улучшить тяговые характеристики ракетного двигателя путем регулирования степени расширения сопла, а также сократить стартовые осевые габариты летательного аппарата-
Кроме того, как показывают эксперименты, характеристики сопла при этом можно повысить с помощью вдува в область за торцевым уступом малого расхода вторичного газа, например, продуктов газогенерации. Такой вдув позволяет увеличить давление в отрывной донной области и, следовательно, тягу всего сопла.
Рассмотрим работу сопла с выдвижным насадком. Схема течения и характер распределения давления на стенке насадка в зависимости от расхода вдува (g=0 и g#0) показаны на рис. 15.6,а. В отличие от рассмотренного в разд. 15.2 течения с отрывом в круглом сопле в данном случае сечение отрыва нам известно. Тем не менее расчет параметров в отрывной донной области остается еще очень сложной задачей. Для упрощения анализа при рассмотрении
182
/—основное сопло; 2—наса- Ц
док в нерабочем положении;
3—насадок в рабочем поло- Рис. 15.6. Схема течения в сопле с выд-
женин вижным насадком
процессов за сечением отрыва область донного течения удобно разбить на следующие подобласти.
....15. 2. 2. УКОРОЧЕННОЕ КОЛЬЦЕВОЕ СОПЛО
Задача по определению донного давления встречается также при проектировании некоторых типов кольцевых сопел с укороченным внутренним контуром, а также тарельчатых сопел.
Эксперименты и расчеты показывают, что в кольцевых соплах со значительно укороченным контуром благодаря донному давлению создается 20—30% тяги. Поэтому точность расчета тяговых характеристик двигателя во многом зависит от точности определения донного давления.
Рассмотрим кратко основные особенности работы укороченных сопел на различных режимах их работы (рис. 15.8). Саморегулирование степени расширения, характерное для кольцевых сопел, в этом случае осутцествляется изменением донного давления при изменении давления окружающей среды. В зависимости от того, как связано донное давление с давлением окружающей среды, различают режимы работы сопла с замкнутой донной областью й режимы с открытой донной областью. Режимы с замкнутой донной областью возникают при недорасширении, на расчетном режиме и при некотором перерасширении и характеризуются тем, что донное давление не зависит от давления окружающей среды. Об-
184
ласть донного течения на эти-х режимах замыкается кромочным скачком АС (см. рис. 15.8, а). При увеличении давления окружающей среды наружная граница струи поджимается, а кромочный скачок начинает перемещаться в направлении к донному торцу. На режиме перерасширения, начиная примерно с того момента, когда кромочный скачок АС пересечет след D, донная область открывается и донное давление начинает зависеть от давления окружающей среды. Донное течение на этом режиме гораздо сложнее и существенно зависит от степени нерасчетности (см. рис. 15.8, б).
Для определения донного давления на режиме с замкнутой донной областью можно воспользоваться изложенным выше методом допустимого угла поворота потока 6Д. Однако в этом случае необходимо знать радиус точки присоединения гг>, в которую приходит граничная линия невязкого потока BD (см. рис. 15.8,а). Согласно экспериментальным данным его можно принять равным половине радиуса донного торца гв- Эксперименты показывают также, что на режиме с открытой донной областью донное давление незначительно отличается от давления окружающей среды и приближенно их можно принять равными (рддарн)-...."
Источник : http://pirochem.net/index.php?id1=3&category=otherpirotech&author=alemasov-ve&book=1980&page=69
Back in the  U.S.S.R !

Старый

Для тупых:

Цитировать
Цитировать....15. 2. 2. УКОРОЧЕННОЕ КОЛЬЦЕВОЕ СОПЛО

 Эксперименты и расчеты показывают, что в кольцевых соплах со значительно укороченным контуром благодаря донному давлению создается 20—30% тяги . 
Счас убогий будет доказывать что кольцевое сопло это совсем не то что все думали. И что на Булаве кольцевое сопло, какое же ещё? Да ещё и укороченое но с раздвижной насадкой...

Убогий искал по словам "20-30% тяги", а прочитать или понять остальные слова умишки не хватило. Типичная реакция дебила - в одном разделе говорится про раздвижные насадки, в другом - про кольцевые сопла, в тупом рассудке накоротко замыкается прямая связь - "раздвижной насадок создаёт 20-30% тяги". 
1. Ангара - единственная в мире новая РН которая хуже старой (с) Старый Ламер
2. Назначение Роскосмоса - не летать в космос а выкачивать из бюджета деньги
3. У Маска ракета длиннее и толще чем у Роскосмоса
4. Чем мрачнее реальность тем ярче бред (с) Старый Ламер

Старый

Цитироватьmahor11 пишет: 
Тогда прямой вопрос : если ступень может лететь без раскрытия сопла, то для чего нужно городить механизм его раскрытия? 
Никогда, никогда вы не сможете узнать зачем служат раздвижные насадки. Никогда, никогда вы не сможете узнаеть как ракета может летать без раздвижного насадка. Знаете почему?

ЦитироватьЯ прусь от дебилов, которые при виде чёрного квадрата кричат "белый"! 
Перепутать раздвижную насадку и кольцевое сопло - объясните как можно быть таким тупым? 



ЦитироватьТаким образом, раздвигая сопло УВЕЛИЧИВАЮТ УДЕЛЬНЫЙ ИМПУЛЬС !
Вау! До тупого дошло что
ЦитироватьСтарый пишет: 
Не раскрылся насадок - небольшой недобор скорости, небольшая потеря дальности. Так как пуск не на предельную дальность то вообще не должно сказаться.
И зачем было так долго и мучительно строить из себя идиота? Или не дошло? 
1. Ангара - единственная в мире новая РН которая хуже старой (с) Старый Ламер
2. Назначение Роскосмоса - не летать в космос а выкачивать из бюджета деньги
3. У Маска ракета длиннее и толще чем у Роскосмоса
4. Чем мрачнее реальность тем ярче бред (с) Старый Ламер

Старый

Махор, идиотик, вы уж не забывайте с чего начали и расскажите как ваш больной рассудок додумался до того что нераскрытие насадка приводит к отклонению от траектории?  
1. Ангара - единственная в мире новая РН которая хуже старой (с) Старый Ламер
2. Назначение Роскосмоса - не летать в космос а выкачивать из бюджета деньги
3. У Маска ракета длиннее и толще чем у Роскосмоса
4. Чем мрачнее реальность тем ярче бред (с) Старый Ламер

mahor11

ЦитироватьМахор, идиотик, вы уж не забывайте с чего начали и расскажите как ваш больной рассудок додумался до того что нераскрытие насадка приводит к отклонению от траектории?
Я понял,что вы сборище дебилов и идиотов , но не настолько же? Вам дали ДВА ПРИМЕРА ИСПОЛНЕНИЯ ТРД...Понятно. что вы купились... :D  :D  :D НО я же для тупых писал про вектор тяги и управления им на траектории. Есть такой раздел ТАУ : ОПТИМАЛЬНОЕ УПРАВЛЕНИЕ. ЕСТЬ траектория движения, уроды , есть в конце концов ОГРАНИЧЕНИЕ НА РАЗМЕРЫ ПО ОСИ...Млять, написано же всё для тупых...Счас они мне будут доказывать, что можно прилететь в заданную точку не выдвигая насадка. Можно, млять, но не далеко. Называется "полёт за бугор".  Теперь ясно почему у вас Булава не летает.. :D  :D  :D

Бедная страна идиотов, гоблинов и дебилов! 8)  :D  :D  По-хорошему," вас надо собрать в одно большое стадо и атомную бомбою стереть с лица Земли!" :D  :D  :D

А в  интегралах с логарифмами вы не петрите! :D  :D  Да здравствует ЕГЭ! :D  :)  :{}

Идите лучше пивка попейте! Самое то для вас....:-))))))))))))))
Back in the  U.S.S.R !

mahor11

Идём на топвар, читаем : http://topwar.ru/36985-v-opk-obyasnili-sut-problemy-s-soplom-bulavy.html

"
 123321   6 декабря 2013 13:33 
[quote=Аскет]В статье полный бред. Ничего там при старте не выдвигается ибо у "Булавы" управление полетом на участке работы первой ступени осществляется центральным поворотным частично утопленным соплом на основе эластичного шарнира.. Вторая и третья ступени оснащаются центральным поворотным частично утопленным соплом со складывающимся сопловым насадком(дефлектором)Это и есть выдвигаемая часть сопла ракетного двигателя, предназначенная для увеличения его эффективности в разреженных слоях атмосферы или в вакууме. Вот именно этот механизм и вышел из строя. Сопловый насадок(дефлектор) служит для управления тягой ТТРД.Он должен выдвигаться тогда когда давление воздуха на срезе сопла с насадком станет равно давлению газов на срезе его же. А уже в конце АУТ применяется "отсечка" РДТТ -гашение заряда путём быстрого снижения давления в камере двигателя, отклонение реактивной струи при помощи самих поворотных сопел плюс вспомолательных двигателей.Для чего и придумали вот это самое частично утопленное сопло на эластичном шарнире. Поэтому на Тополь-М (и Булаве) нет решетчатых стабилизаторов и рулей,которые были у его предшественника Тополь.[/quote
Конструкцию эластичного сопла помог создать случай: эта мысль озарила после того как изобретатель увидел складной стаканчик(были популярны в свое время). Я являюсь родственником этого новатора. Не скромно так)
Back in the  U.S.S.R !

Старый

Цитироватьmahor11 пишет: 
ЦитироватьМахор, идиотик, вы уж не забывайте с чего начали и расскажите как ваш больной рассудок додумался до того что нераскрытие насадка приводит к отклонению от траектории?
Я понял,что вы сборище дебилов и идиотов , но не настолько же? Вам дали ДВА ПРИМЕРА ИСПОЛНЕНИЯ ТРД...Понятно. что вы купились... НО я же для тупых писал про вектор тяги и управления им на траектории. Есть такой раздел ТАУ : ОПТИМАЛЬНОЕ УПРАВЛЕНИЕ. ЕСТЬ траектория движения, уроды , есть в конце концов ОГРАНИЧЕНИЕ НА РАЗМЕРЫ ПО ОСИ...Млять, написано же всё для тупых...Счас они мне будут доказывать, что можно прилететь в заданную точку не выдвигая насадка. Можно, млять, но не далеко. Называется "полёт за бугор". Теперь ясно почему у вас Булава не летает.. 

Бедная страна идиотов, гоблинов и дебилов! По-хорошему," вас надо собрать в одно большое стадо и атомную бомбою стереть с лица Земли!" 

А в интегралах с логарифмами вы не петрите! Да здравствует ЕГЭ! 

Идите лучше пивка попейте! Самое то для вас.... )))))))))))))
О, заметался идиотик, заголосил. Всё что смог вспомнить в трёх строках изложил. Про терминальное управление правда не вспомнил потому что никогда не знал.
 
И на главный вопрос: "Как можно быть таким тупым?" так и не ответил. 
1. Ангара - единственная в мире новая РН которая хуже старой (с) Старый Ламер
2. Назначение Роскосмоса - не летать в космос а выкачивать из бюджета деньги
3. У Маска ракета длиннее и толще чем у Роскосмоса
4. Чем мрачнее реальность тем ярче бред (с) Старый Ламер

mahor11

#10431
ЦитироватьО, заметался идиотик, заголосил. Всё что смог вспомнить в трёх строках изложил. Про терминальное управление правда не вспомнил потому что никогда не знал.
 
И на главный вопрос: "Как можно быть таким тупым?" так и не ответил.
Я , в отличие от тебя , умный! И ,глядя на ваши подколки, тихо прусь! Несмотря на ваши вопли , МИТ так и не сможет довести машину до ума : то матрёна неё****на, то корова не доёна!  Я доехал до конечной ,  :D  сходил с другом в лес, попил пивка, потом берёзового сока ( стянул у браконьера), потом навернул корейку в шашлычке...Лепота, вокруг ползают букашки, растут деревья и им глубоко по..... на вашу Булаву. НАШИ РАКЕТЫ ЛЕТАЛИ, ЛЕТАЮТ и БУДУТ ЛЕТАТЬ ВСЕГДА! а ваши- нет!  :D   :D   :D
Back in the  U.S.S.R !

mahor11

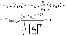
Специально для тугих нашёл курс по ракетным двигателям : http://www.engineer.bmstu.ru/res/dorofeev/lec/gl_05/l05.htm

Цитировать"
Высотные характеристики камер с соплами, отличающимися только площадями выходного сечения
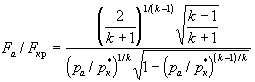
Рассмотрим ракетный двигатель, сопло которого снабжено дорасширительным насадком (рис.5.4.), установка в рабочее положение которого обеспечивает увеличение выходной площади сопла от F a1 до F a2>F a1. Такое сопло называется раздвижным или составным.
Обозначим двигатель с соплом без насадка индексом 1, а с насадком - индексом 2.
Из F a2/ Fкр > F a1/ Fкр следует Iу.п2> Iy.n1 и Pп2> Pn1.
Т.к. Fa2> F a1 , темп снижения тяги и удельного импульса для двигателя с насадком будет выше, чем для двигателя без насадка и графики характеристик пересекутся при некотором давлении p h = p h пр (рис. 5.5).
На высотах с давлением рh < p h np, большую тягу развивает двигатель с дорасширительным насадком, а на меньших высотах - двигатель без насадка.
 
При движении по траектории вверх по достижении высоты, на которой p h =p h np, насадок целесообразно перевести из транспортного положения в рабочее.
 
Если ракета с таким двигателем снижается, то на больших высотах сопловой насадок должен находится в рабочем положении, а по снижении до высоты, на которой атмосферное давление равно p hnp, сопловой насадок должен быть переведен в транспортное положение, т.е. необходимо перевести сопло из одного режима в другой - переключить сопло. Поэтому давление, при котором становится целесообразным переключение называют давлением переключения, а соответствующую этому давлению высоту - высотой переключения.
Отметим, что сопло с насадком только при одном давлении p h, когда p h2 =p a2, будет работать на расчетном режиме. Сопло без насадка также будет работать на расчетном режиме при одном давлении рh1 = p a1.Очевидно, что рh1 > p h2.. И при таких давлениях окружающей среды двигатели будут развивать наибольшую тягу по сравнению с другими двигателями, отличающимися от рассматриваемых только площадями выходного сечения сопла.
Если представить множество ракетных двигателей, отличающихся друг от друга только площадями выходного сечения сопла (рис. 5.6), то для любого p hi из диапазона можно найти в этом множестве такой i-й двигатель, сопло которого при данном p h будет работать на расчетном режиме, т.е. при p h=p a. И на графиках высотных характеристик (рис. 5.5), построенных для этого множества двигателей, на прямой, соответствующей выбранному i- у двигателю, есть точка, выше которой не может пройти никакая другая характеристика, так как сопло именно этого двигателя имеет оптимальную для данного p h геометрическую степень расширения, при которой сопло работает на расчетном режиме и развивает максимальную тягу.
Совокупность таких точек, мажоранта и она же огибающая множества характеристик, является графиком зависимости тяги от давления окружающей среды для двигателя, сверхзвуковая часть сопла которого регулируется путем изменения площади выходного сечения сопла так, что при любом в выходном сечении сопла достигается равенство pa = p h.
Аналитическое выражение для этой кривой может быть получено, исходя из уравнения тяги с учетом p a = p h для всех p h из области , а именно:
 
(5.8)
(5.9)
Равенство нулю второго слагаемого в уравнении для тяги (5.8) не очевидно для случая и соответствующего предельного значения , так как в этом случае имеем неопределенность типа произведения . Равенство нулю этого произведения следует из преобразований, использующих подстановку
 
.
Выразив отсюда F a и выполнив предельный переход, получим
 
(5.10)
где Z = const ? 0.
Как и для высотных характеристик, зависимости для тяги (5.8) и удельного импульса (5.11) отличаются постоянным для данного двигателя множителем и их графики поэтому могут совпадать в системе Декартовых координат при соответствующем выборе масштаба или, в общем случае, при любом значении давления рh ординаты графиков будут отличаться в раз.
График зависимости тяги (или в другом масштабе - удельного импульса) от давления окружающей среды, построенный по уравнениям (5.8) или (5.9), приведен на рис. 5.5."
Не надо печалиться вся жизнь впереди, надейся и жди!
Back in the  U.S.S.R !

mahor11

ЦитироватьО, заметался идиотик, заголосил. Всё что смог вспомнить в трёх строках изложил. Про терминальное управление правда не вспомнил потому что никогда не знал.
 
И на главный вопрос: "Как можно быть таким тупым?" так и не ответил.
Во многих областях техники возникает задача приведения объекта управления в заданное конечное состояние, определяемое совокупностью нескольких краевых условий. Терминальный момент определяется как момент выполнения одного из краевых условий, а задача терминального управления заключается в обеспечении выполнения остальных краевых условий в этот момент с максимальной точностью. 
Толчком к становлению теории терминальных систем управления послужили практические задачи, возникающие в ракетно-космической и авиационной технике. Принципы и алгоритмы терминального управления разрабатывались под руководством Б.Н. Петрова – вначале при создании бортовой системы управления расходованием топлива, а далее при разработке систем управления сближением, мягкой посадкой и др. 
В начале 70-х годов академиком Б.Н. Петровым, д.т.н., проф. Ю.П. Портновым-Соколовым, д.т.н. А.Я. Андриенко и к.т.н. В.П. Ивановым был подготовлен обстоятельный обзор работ по теории терминальных систем управления, а в начале 80-х годов теми же авторами была опубликована монография "Бортовые терминальные системы управления. Принципы построения и элементы теории". 
Теория терминального управления развивалась, в основном, как ветвь общей теории оптимального управления в задачах либо с граничными условиями на правом конце траектории, либо с терминальным критерием оптимальности.  
Терминальные системы управления отличаются от других систем управления (например, систем стабилизации) не только по назначению, но и по способу организации процесса управления. Принципы управления, наиболее адекватные терминальным системам, предусматривают прогнозирование будущего движения системы от текущего до терминального момента и формирование процесса изменения управляющего воздействия (программы управления), приводящего систему в заданное конечное состояние. С целью компенсации неизбежно возникающих в реальных условиях погрешностей управления такая процедура многократно повторяется и в последующие моменты времени, в результате чего обеспечивается требуемая коррекция программы управления. За счёт фильтрации помех при оценке текущего состояния системы и повышения качества прогнозирования можно достичь уменьшения погрешностей управления по мере приближения к терминальному моменту.  
Основное содержание теории составляют методы анализа и синтеза терминальных систем управления.  
Сформулирована общая стохастическая задача синтеза терминальных систем управления, определены физические основы её решения.  
Задачи терминального управления, как правило, являются многокритериальными (требование максимизации терминальной точности дополняется критериями интегрального типа). Методы синтеза систем терминального управления используют идею разбиения общей задачи на два этапа. На первом этапе из условия экстремума интегрального критерия находится класс функций, определяющих программу управления на интервале от текущего до терминального момента. На втором этапе решается задача синтеза системы управления с обратной связью. Механизм обратной связи реализуется путем коррекции параметров программы управления по результатам прогнозирования невязок краевых условий в терминальный момент времени (фактически – промаха). Алгоритм управления возмущённым движением находится из условия минимума терминального критерия.  
Для ряда прикладных задач терминального управления (процессом выведения ракетоносителей, расходования компонентов топлива, сближения космических аппаратов) получены оптимальные программы управления по различным критериям: энергетическому, быстродействия, безопасности (А.Я. Андриенко, к.т.н. А.А. Муранов, к.т.н. А.И. Чадаев).  
Одним из направлений второго этапа синтеза стали исследования по разработке методов прогнозирования промаха и алгоритмов управления по прогнозируемому промаху.  
В рамках данного направления разработаны и исследованы двухуровневые и многоуровневые итеративные алгоритмы терминального управления, основанные на использовании при прогнозировании и управлении нескольких отличающихся по сложности моделей объекта (В.П. Иванов, к.т.н. В.К. Завадский).  
В терминальных системах задачи фильтрации случайных помех решаются как при построении алгоритмов оценивания текущих значений координат состояния и возмущений, так и при формировании улучшенных оценок промаха на основе данных текущего прогнозирования и оценок промаха, полученных на предшествующих шагах управления. Применительно к терминальным системам разработаны методы синтеза алгоритмов оценивания координат состояния по результатам измерений на ограниченном интервале предыстории и алгоритмов калмановского типа для нелинейных объектов управления (А.Я. Андриенко). Развиты принципы построения и методы синтеза алгоритмов формирования улучшенных оценок промаха и алгоритмов двухуровневой фильтрации на уровнях оценивания координат состояния и промаха (В.К. Завадский).  
Применительно к бортовым терминальным системам проводились исследования по разработке бортовых алгоритмов управления, позволяющих сохранять работоспособность системы при возникновении аппаратных отказов и тем самым обеспечивать повышение безопасности объектов ракетно-космической техники. Сформулирован принципиально новый подход к синтезу, заключающийся в том, что состояние системы с частичным отказом рассматривается как одно из допустимых её состояний, которое должно учитываться при выборе алгоритма управления (А.Я. Андриенко, В.П. Иванов, Ю.П. Портнов-Соколов). В идеологию построения алгоритма управления закладывается способность сохранения приемлемого качества при появлении отказов.  
Физической основой синтеза таких алгоритмов управления является использование имеющихся в системе различных видов избыточности: информационной, исполнительных органов, программ управления; введение резервных целей управления для режимов с отказами. В синтезируемом алгоритме управления предусматриваются возможности диагностики состояний системы с отказами и перестройки на новые условия работы. Важно отметить, что повышение надёжности системы в данном случае обеспечивается без привлечения дополнительных аппаратных средств.  
В рамках теории терминального управления были также разработаны: методы статистического синтеза алгоритмов с ограничением по структуре управляющего устройства и методы статистического оценивания предельных точностных характеристик терминальных систем; методы синтеза систем терминального управления в условиях неопределённости априорной информации и систем управления объектами многоцелевого назначения; способ порогово-дискретного программного управления и метод статистической оптимизации временной последовательности интервалов квантования; методы статистической оценки точности управления бортовых терминальных систем.  
Основные результаты теории терминальных систем управления были использованы при создании бортовых систем для космических ракет-носителей "Союз", "Протон", "Зенит", "Энергия-Буран", обеспечивших реализацию отечественных космических программ и международных проектов ("Союз-Аполлон", "Морской старт"), а также для ряда межконтинентальных баллистических ракет, составивших основу ракетно-ядерного потенциала страны.
 
Как всегда наши балбесы пытались изобрести что-то своё ! :D  У них связь "импульсный челнок", у нас R-1,5 , у них -оптимальное управление, у нас - терминальное, ладно не "анальное"! :D  :D

[/FONT]
Back in the  U.S.S.R !

Старый

Цитироватьmahor11 пишет:  МИТ так и не сможет довести машину до ума : 
С нераскрывшимся насадком всё?
1. Ангара - единственная в мире новая РН которая хуже старой (с) Старый Ламер
2. Назначение Роскосмоса - не летать в космос а выкачивать из бюджета деньги
3. У Маска ракета длиннее и толще чем у Роскосмоса
4. Чем мрачнее реальность тем ярче бред (с) Старый Ламер

Старый

Цитироватьmahor11 пишет:
Специально для тугих нашёл курс по ракетным двигателям:
Цитироватьmahor11 пишет: Принципы и алгоритмы терминального управления разрабатывались под руководством Б.Н. Петрова
Убогий, вас ведь не спрашивали сможете ли вы найти в интернете слова "раздвижной насадок" и "терминальное управление". Вас спрашивали как можно быть таким тупым? Где ответ?
1. Ангара - единственная в мире новая РН которая хуже старой (с) Старый Ламер
2. Назначение Роскосмоса - не летать в космос а выкачивать из бюджета деньги
3. У Маска ракета длиннее и толще чем у Роскосмоса
4. Чем мрачнее реальность тем ярче бред (с) Старый Ламер

m-s Gelezniak

Цитироватьmahor11 пишет:

МИТ так и не сможет довести машину до ума

?
Шли бы Вы все на Марс, что ли...

Veganin

mahor11, да довел уже МИТ "Булаву" до ума - шесть успешных пусков подряд об этом ясно говорят. Последняя неприятность - дело рук производственников.
PS
Меня больше всего удивляет, как комплектующие с серьезных заводов, под оком ПЗ и ОТК, приходят неисправными.
Думаю, что изделия 100% никто не проверяет - гладко только на бумаге.
Изделия, бывает, даже без софта приходит  :o  Забыли, говорят, ПО залить (а заодно и проверить все изделие). Вот о чем надо думать руководству ВПК! Ну и, разумеется, о повышении зарплаты рядовых инженегров.
"Мы не осмеливаемся на многие вещи, потому что они тяжелые, но тяжелые, потому что мы не осмеливаемся сделать их." Сенека
Если вы думаете, что на что-то способны, вы правы; если думаете, что у вас ничего не получится - вы тоже правы. © Генри Форд

mahor11

Цитироватьmahor11, да довел уже МИТ "Булаву" до ума - шесть успешных пусков подряд об этом ясно говорят. Последняя неприятность - дело рук производственников.
PS
Меня больше всего удивляет, как комплектующие с серьезных заводов, под оком ПЗ и ОТК, приходят неисправными.
Думаю, что изделия 100% никто не проверяет - гладко только на бумаге.
Изделия, бывает, даже без софта приходит :o Забыли, говорят, ПО залить (а заодно и проверить все изделие). Вот о чем надо думать руководству ВПК! Ну и, разумеется, о повышении зарплаты рядовых инженегров.
То что вы пишите - это фантастика...Ни один завод не сможет внести изменение в технологию изготовления детали без согласования с КБ..Значит шняга МИТ, однозначно...Уже упали две машины по этой причине, сейчас третья...Стоимость одной где-то 100 млн рублей...В советское время эту контору бы разогнали давно...
Back in the  U.S.S.R !

mahor11

ЦитироватьУбогий, вас ведь не спрашивали сможете ли вы найти в интернете слова "раздвижной насадок" и "терминальное управление". Вас спрашивали как можно быть таким тупым? Где ответ?
Дятел, ну как тебе объяснить очевидное? Реши задачку по физике за 10 класс о теле,  которое летит под некоторым углом к горизонту с начальной скоростью под действием ускорения....Поиграй значениями ускорения и будет тебе .... :{}  Не надо хренального управления..Всё ещё Ньютон решил для митрофанушек, навроде тебя! :D  :D
Back in the  U.S.S.R !