Солнечные паруса.

Автор Agent, 12.08.2004 07:37:59

« назад - далее »

0 Пользователи и 1 гость просматривают эту тему.

sleo

Цитировать
ЦитироватьА интересно, бортовой комплекс управления этого парусного чуда позволяет изменять программу его полета с Земли по командной радиолинии? Если позволяет, то еще можно что-то сделать.
Если даже позволяет, то, наверное, это не имеет смысла - на низкой орбите сопротивление атмосферы поди гораздо больше любого солнечного ветра. :?

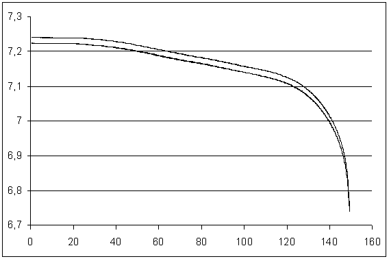
Для этого аппарата даже на высоте 800 км сопротивление "атмосферы" существенно. Из работы "Проект  "Солнечный  парус " :

"...Аппарат выводится на околокруговую орбиту с парaметрами:
большая полуось 7230 км;
наклонение 78,6 градуса;
долгота восходящего узла выбирается в зависимости от даты старта из условия максимальной освещенности.

...Характер изменения большой полуоси на длительном интервале времени изображен на рис 3, 4. Верхняя кривая - огибающая локальных максимумов полуоси, нижняя - минимумов. Уменьшение полуоси в случае неуправляемого полета (рис.3) вызвано влиянием атмосферы. Увеличение полуоси в случае управляемого полета (рис.4) вызвано влиянием давления солнечной радиации.
 
Рис 3. Большая полуось. Неуправляемый полет. 149 суток полета. Ось X - время от 0 часов даты пуска (сутки). Ось Y - полуось (тысячи км)


 
Рис 4. Большая полуось. Управляемый полет. 149 суток полета. Ось X - время от 0 часов даты пуска (сутки). Ось Y - полуось (тысячи км)

X

Цитироватьto military personnel of Russian nuclear sub Borisoglebsk :
Sapojgniki ! Dvorniki ! Pozor !
How you intend to defence Russians in case of war, I wonder? :oops:

А при чем тут они, кстати?

X

ЦитироватьДля этого аппарата даже на высоте 800 км сопротивление "атмосферы" существенно. Из работы "Проект  "Солнечный  парус "
То есть, насколько я понял, на 300 км он уже камнем падает вниз?

X

ЦитироватьТо есть, насколько я понял, на 300 км он уже камнем падает вниз?
зависит от плотности атмосферы на данной высоте , а она может гулять на порядок-полтора.  если грубо то при раскрытом парусе перпендикулярно набегающему потоку срок существования меньше недели () может даже всего 1 день). однако скорее всего парус развернет ребром к потоку ,  мидель капитально уменьшится и можно надеяться на существование в течении гораздо большего времени.  Может быть даже удастся приспособить эту ориентацию для подъема орбиты, она у него приполярная.

X

ЦитироватьМоих редакторов мучает вопрос: почему Cosmos 1?
Если бы он вышел на орбиту он так бы и остался в международной классификации Космосом-1? Не возникла бы путаница? Ведь в соверские времена Космос-1 уже был...

noToMy 4To KOCMOC oguH.

X

Цитировать
ЦитироватьДля этого аппарата даже на высоте 800 км сопротивление "атмосферы" существенно. Из работы "Проект  "Солнечный  парус "
То есть, насколько я понял, на 300 км он уже камнем падает вниз?

MbI ew,e" BTopou' necHu He yc/\bIwa/\u ( U noxo>ke He yc/\bIwuM) pa3Bopa4uBaHue napyca[/size]....

Andy_K64

Цитировать
Цитировать
ЦитироватьДля этого аппарата даже на высоте 800 км сопротивление "атмосферы" существенно. Из работы "Проект  "Солнечный  парус "
То есть, насколько я понял, на 300 км он уже камнем падает вниз?

MbI ew,e" BTopou' necHu He yc/\bIwa/\u ( U noxo>ke He yc/\bIwuM) pa3Bopa4uBaHue napyca[/size]....
Тем более, что как показали эксперименты "Знамя-2" и "Знамя 2.5" дело это не простое.

sleo

Цитировать
ЦитироватьДля этого аппарата даже на высоте 800 км сопротивление "атмосферы" существенно. Из работы "Проект  "Солнечный  парус "
То есть, насколько я понял, на 300 км он уже камнем падает вниз?

Судя по графику, уже с 500 км он "камнем падает вниз". Однако - это для неориентированного режима и в случае полностью раскрытого паруса.

ronatu

Цитировать
Цитировать
ЦитироватьДля этого аппарата даже на высоте 800 км сопротивление "атмосферы" существенно. Из работы "Проект  "Солнечный  парус "
То есть, насколько я понял, на 300 км он уже камнем падает вниз?

Судя по графику, уже с 500 км он "камнем падает вниз". Однако - это для неориентированного режима и в случае полностью раскрытого паруса.

A pa3Bopa4uBaHue napyca To/\bko B n/\aHe.... :wink:
Когда жизнь экзаменует - первыми сдают нервы.

X

24 -го числа "Протон" должен полететь - если и он гикнется - Перминову лучше самому удавится.

fagot

В "Вестях" сказали, что ракета упала в районе Новой земли.

slipstream

// The Planetary Society's Cosmos 1 Weblog

Jun 22, 2005 | 07:49 PDT | 14:49 UTC
The morning after


I showed up here at POP at about 7 am local time. I'm the only one here in the building at the moment. It was a very late night after a very long day yesterday, and we all knew that if anything there would be more people asking questions today; we needed the rest.

Over our night and their day there has been some information coming out of Russia. To recap where we stand: yesterday the launch appeared to happen roughly on time. The Navy reported first stage firing. Then the signal of the spacecraft was detected over the temporary ground station at Petropavlovsk. But it wasn't detected over Majuro, which had us concerned. And then U. S. Strategic Command reported that they did not see our spacecraft in the sky. Later in the afternoon, we heard back from our man in Majuro that he thought actually he may have detected a weak signal. And then we heard the same from Panska Ves via Lou. That all seemed to add up to a consistent story that while there may have been a problem on board, our spacecraft likely was in orbit.

Since then, there has been a new report circulating from Russia:

ITAR-TASS is now quoting officials of the Russian Navy and the Makeyev design bureau as saying that the Volna first stage unexpectedly shut down 83 seconds after lift-off, adding that unlike the standard Volna SLBM the "space version" does not have an automatic destruct system for such an eventuality.

About this, Lou made a statement last night:

Project Director Louis Friedman cautioned that some data point to a launch vehicle misfiring, one that would prevent the spacecraft from achieving orbit. He said, "That the weak signals were recorded at the expected times of spacecraft passes over the ground stations is encouraging, but in no way are they conclusive enough for us to be sure that they came from Cosmos 1 working in orbit." The Russian space agency indicated that the Volna rocket may have had a problem during its first or second stage firing. "This," Friedman noted, "would almost certainly have prevented the spacecraft from reaching the correct orbit."

What this means is that we are still dealing with a very wide range of possibilities for what could have happened yesterday, made even wider by the fact that it kind of sounds like some of the information that we have is contradictory. If the launch vehicle failed, how did we detect signals at Majuro and Panska Ves? On the other side, if the launch vehicle had a problem but still managed to put the spacecraft into some orbit, why didn't Strat Comm see it last night? We don't know what to make of it. We hope to get more information from Lou in an hour or two. Stand by for that.

mike

ЦитироватьВ "Вестях" сказали, что ракета упала в районе Новой земли.
Там ещё сказали что Космос-1 полетит в межгалактическое путешествие на солнечных батареях  :D

X

Цитировать
Цитироватьto military personnel of Russian nuclear sub Borisoglebsk :
Sapojgniki ! Dvorniki ! Pozor !
How you intend to defence Russians in case of war, I wonder? :oops:

А при чем тут они, кстати?

Think a bit, please. It was unsuccessful launch of converted missile from military sub. They also have rotten ICBM's on board, I bet.

VOLNA = Very Old Launcher Not Advised.

Иностранец

ЦитироватьThink a bit, please. It was unsuccessful launch of converted missile from military sub. They also have rotten ICBM's on board, I bet.

VOLNA = Very Old Launcher Not Advised.

Да ладно, ладно...ракету наверное именно  из за того и сняли с дежурства, что каких-то 30 лет прослужила....Знали, что делают, так что на счет боеспособности не беспокойтесь :) Я не знаю, что бы Вы хотели за 4 млн баксов.  Planetary Society явно экономила не там, кде надо...а если больше денег не было, то желательно в следующий раз больше в проект вложить...

Старый

ЦитироватьТак что там с остоновкой двигателя на 83-й секунде? Однако РСМ-50 оказывается то еще вундервуффе. За 83 секунды - в космос. Какая там ПРО.
За 83 секунды и в море. Тут не ПРО, тут ПЛО нужна... :( Да, блинннн... Вундерваффе... Одно слово: деревянный меч империи... :(
1. Ангара - единственная в мире новая РН которая хуже старой (с) Старый Ламер
2. Назначение Роскосмоса - не летать в космос а выкачивать из бюджета деньги
3. У Маска ракета длиннее и толще чем у Роскосмоса
4. Чем мрачнее реальность тем ярче бред (с) Старый Ламер

Старый

ЦитироватьА Волна в неконверсионном варианте летает так же метко?
Захочется америку по бомбить, а попадет по собственной территории из-за сбоя в двигателе первой ступени.
Это не она два раза подряд глюкнула когда Путин перед выборами ездил на Сев.флот?
1. Ангара - единственная в мире новая РН которая хуже старой (с) Старый Ламер
2. Назначение Роскосмоса - не летать в космос а выкачивать из бюджета деньги
3. У Маска ракета длиннее и толще чем у Роскосмоса
4. Чем мрачнее реальность тем ярче бред (с) Старый Ламер

sleo

Цитировать
ЦитироватьА Волна в неконверсионном варианте летает так же метко?
Захочется америку по бомбить, а попадет по собственной территории из-за сбоя в двигателе первой ступени.
Это не она два раза подряд глюкнула когда Путин перед выборами ездил на Сев.флот?

Тогда глюкнула РСМ - 54 (Витязь/Скиф).
А Волна - это, вроде, РСМ-50.

Старый

ЦитироватьТогда глюкнула РСМ - 54 (Витязь/Скиф).
А Волна - это, вроде, РСМ-50.
Ааааа... А какая из них надёжней? ;)
1. Ангара - единственная в мире новая РН которая хуже старой (с) Старый Ламер
2. Назначение Роскосмоса - не летать в космос а выкачивать из бюджета деньги
3. У Маска ракета длиннее и толще чем у Роскосмоса
4. Чем мрачнее реальность тем ярче бред (с) Старый Ламер

sleo

Цитировать
ЦитироватьТогда глюкнула РСМ - 54 (Витязь/Скиф).
А Волна - это, вроде, РСМ-50.
Ааааа... А какая из них надёжней? ;)

Немного про Волну:
http://www.new-factoria.ru/missile/wobb/r29p/r29p.shtml

"1 октября 1999 года подводный ракетоносец Северного флота проекта 667 БДР под командованием капитана 2 ранга Тагира Каяева из акватории Баренцева моря произвел пуск  ракеты  РСМ-50. Целью пуска было изучение возможностей продления сроков службы  ракет  этого типа. По информации пресс-службы ВМФ, РСМ-50 была подорвана на расчетной высоте, однако, по мнению специалистов, подрыв  ракеты  был вызван техническими неполадками. Из акватории Охотского моря однотипный ракетоносец Тихоокеанского флота (ТОФ) под командованием капитана 1 ранга Владимира Бобкова запустил  ракету  РСМ-50, головная часть которой в расчетное время поразила цель на полигоне Канин Нос. 2 октября ракетоносец ТОФ "Петропавловск-Камчатский" того же проекта 667 БДР под командованием капитана 2 ранга Николая Евменова запустил  ракету  РСМ-50, головная часть которой также успешно достигла полигона Канин Нос. По оценке Главкома ВМФ «Точность поражения целей в 2 раза превысила нормативы, установленные для оценки «отлично» . Столь массированные испытания баллистических  ракет  - беспрецедентное событие в истории российских стратегических ядерных сил."