Цвет неба на планетах и спутниках

Автор vika vorobyeva, 29.06.2004 13:02:55

« назад - далее »

0 Пользователи и 1 гость просматривают эту тему.

Феликс

Вообщето - это вам бы вернутся к теме, а не заниматся конспирологическими вымыслами. прочитайте первые три-четыре сообщения.
Там кстати и о Венере есть.
Пробуйте комментировать оттуда.... Пробуйте по существу - а не
ваши предыдущие измышления..... Очень поможет вам вернутся к реальности ;) ;) ;)

Balogi

Цитировать
ЦитироватьИз первого получается второе если добавить красного, желтого и уменьшить зеленого. Настройку к методу Variation в фотошопе где можно это проделать могу выслать при необходимости. Один ф один не выйдет, но цветовые метки выглядят очень похоже.
Разумеется можно. Сделали же  :)
(Обе фотки с сайта НАСА, вторая правда обрезана)
Вопрос в том - а зачем делали-то?

Я просто показал что такой снимок неизбежно получится если цветовую таблицу осветить светом с избытком красного и желтого и недостатком зеленого по сравнению с нашим нормальным земным освещением. Не вижу ничего странного и таинственного в этом факте. Или вы считаете что если намеренно свести цвета таким образом что таблица с Марса будет выглядеть как на Земле то цвет неба в этом случае не будет напоминать земной? Искатели сенсаций по этой теме мне напоминают незадачливого математика который решая уравнение доказал что 0=0. Верно но никому не нужно.

В А Д И М

Цитировать
ЦитироватьИ тут Остапа понесло... (с)  :lol:
Понятно. По существу ответить нечего

Если видишь бегущего кабана, то не стоит вставать перед ним в лужу на четвереньки, лучше отойти в сторону. (с) кто-то из моих Учителей
я так вижу
(my vision)

В А Д И М

Цитировать
Цитировать
ЦитироватьИз первого получается второе если добавить красного, желтого и уменьшить зеленого. Настройку к методу Variation в фотошопе где можно это проделать могу выслать при необходимости. Один ф один не выйдет, но цветовые метки выглядят очень похоже.
Разумеется можно. Сделали же  :)
(Обе фотки с сайта НАСА, вторая правда обрезана)
Вопрос в том - а зачем делали-то?

Я просто показал что такой снимок неизбежно получится если цветовую таблицу осветить светом с избытком красного и желтого и недостатком зеленого по сравнению с нашим нормальным земным освещением. Не вижу ничего странного и таинственного в этом факте. Или вы считаете что если намеренно свести цвета таким образом что таблица с Марса будет выглядеть как на Земле то цвет неба в этом случае не будет напоминать земной? Искатели сенсаций по этой теме мне напоминают незадачливого математика который решая уравнение доказал что 0=0. Верно но никому не нужно.
Так всё-таки. Какой по-вашему в реальности ЦВЕТ НЕБА на Марсе (глядя с поверхности)?  :wink:
я так вижу
(my vision)

Феликс

Цитировать
Цитировать
ЦитироватьИ тут Остапа понесло... (с)  :lol:
Понятно. По существу ответить нечего

Если видишь бегущего кабана, то не стоит вставать перед ним в лужу на четвереньки, лучше отойти в сторону. (с) кто-то из моих Учителей
"Учитель" с большой буквы - это у вас голос внутри головы?
Батенька да вы опасны.... ;)

Феликс

ЦитироватьТак всё-таки. Какой по-вашему в реальности ЦВЕТ НЕБА на Марсе (глядя с поверхности)?  :wink:
Возвращаемся к реальности?
1. в зените?
2. 45градусов к зениту?
3. вблизи горизонта?

В А Д И М

Цитировать
ЦитироватьТак всё-таки. Какой по-вашему в реальности ЦВЕТ НЕБА на Марсе (глядя с поверхности)?  :wink:
Возвращаемся к реальности?
1. в зените?
2. 45градусов к зениту?
3. вблизи горизонта?

Вы, конечно, можете ответить на свои вопросы, но меня интересовало мнение BALOGI.
я так вижу
(my vision)

Феликс

я ВАМ задал вопросы, ГДЕ ИМЕННО на небе Марса вы хотите чтобы balogi
оценил цвет.
опять уходите от ответа?

Старый

ЦитироватьФеликс, постарайтесь поменьше комментировать собеседника, а больше обсуждать сабж по теме.
Вадик, всё что вы делаете на этом топике это коментируете американцев как лжецов и собеседников как заблуждающихся. А себя как единственно верного знатока. По сабжу от вас ещё ничего не последовало. Это вас не красит.
1. Ангара - единственная в мире новая РН которая хуже старой (с) Старый Ламер
2. Назначение Роскосмоса - не летать в космос а выкачивать из бюджета деньги
3. У Маска ракета длиннее и толще чем у Роскосмоса
4. Чем мрачнее реальность тем ярче бред (с) Старый Ламер

Старый

ЦитироватьТак всё-таки. Какой по-вашему в реальности ЦВЕТ НЕБА на Марсе (глядя с поверхности)?  :wink:
Такой как показан на фотографиях. А что?
1. Ангара - единственная в мире новая РН которая хуже старой (с) Старый Ламер
2. Назначение Роскосмоса - не летать в космос а выкачивать из бюджета деньги
3. У Маска ракета длиннее и толще чем у Роскосмоса
4. Чем мрачнее реальность тем ярче бред (с) Старый Ламер

Старый

ЦитироватьЕсли видишь бегущего кабана, то не стоит вставать перед ним в лужу на четвереньки, лучше отойти в сторону. (с) кто-то из моих Учителей
Да никто вобщем то длительное время и не вставал. Но так как кабан издаёт громкое раздражающее хрюканье то приходится вмешиваться...
1. Ангара - единственная в мире новая РН которая хуже старой (с) Старый Ламер
2. Назначение Роскосмоса - не летать в космос а выкачивать из бюджета деньги
3. У Маска ракета длиннее и толще чем у Роскосмоса
4. Чем мрачнее реальность тем ярче бред (с) Старый Ламер

Balogi

В А Д И М

Как вы могли догадаться, я не вижу противоречий в фотографиях НАСА с Марса. Цвет неба может быть разным в зависимости от времени суток, сезона, погоды (запыленности), угла над горизонтом, но для дневного неба в основном красноватого цвета с вариациями. Более точно описывать не вижу смысла на данном этапе.

Хочу и вас спросить, считаете ли вы что произвольно смешивая снимки сделаные с разными светофильтрами  можно получить не только красное или голубое небо, но и желтое, зеленое и вообще какое угодно?

vika vorobyeva

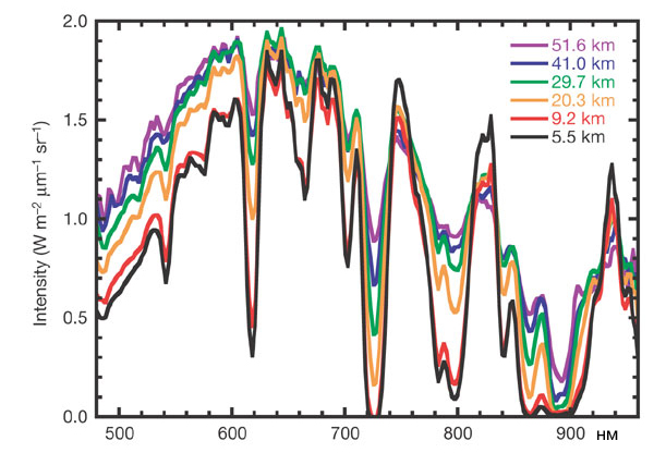
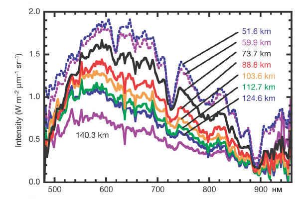
Пара слов о цвете неба на Титане по данным зонда Гюйгенс.
Опускаясь, Гюйгенс снимал спектры окружающей местности как "снизу" (точнее, суммировалось излучение в интервале углов от 10 до 50 градусов от надира), так и "сверху". Ниже представлены спектрограммы неба Титана для разных высот.
Видно, что на высоте 140 км от поверхности небо Титана еще довольно темное и слабо окрашенное (желтоватое). По мере погружения яркость неба начинает нарастать, а максимум излучения в его спектре сдвигается в сторону красных волн. На высоте 50 км от поверхности максимум излучения в спектре неба уже приходится на волны с длиной 560-680 нм (оранжевые и красные лучи). Еще глубже яркость неба для относительно коротких волн (< 700 нм) начинает падать, а для более длинных (> 700 нм) продолжает нарастать.
Т.е. небо на Титане красное и еще довольно яркое, но пасмурное. Однако в ближнем ИК-диапазоне в нескольких окнах прозрачности (например, вблизи 1270 нм и 1550 нм) атмосфера становится практически прозрачной (оптическая толщина ~0,5), так что становятся видны Солнце, Сатурн и наиболее яркие звезды.


В А Д И М

Цитировать
ЦитироватьЕсли видишь бегущего кабана, то не стоит вставать перед ним в лужу на четвереньки, лучше отойти в сторону...
Да никто вобщем то длительное время и не вставал. Но так как кабан издаёт громкое раздражающее хрюканье то приходится вмешиваться...

Феликс, даже Старый не выдержал, видя ваше неадекватное поведение  :lol:
я так вижу
(my vision)

В А Д И М

ЦитироватьВадик, всё что вы делаете на этом топике это комментируете американцев как лжецов и собеседников как заблуждающихся. А себя как единственно верного знатока. По сабжу от вас ещё ничего не последовало. Это вас не красит.

Старый, ваши оценки не соответствуют объективной реальности.
Я по-прежнему считаю, что уровень интеллекта не зависит от количества сообщений в форуме, никогда не грублю собеседнику первым и всегда предпочитаю обсуждать сабж, чего и вам желаю.

P.S. в очередной раз напоминаю, что меня зовут ВАДИМ. Не хотелось бы хлопать Вас по плечу в ответ.
я так вижу
(my vision)

В А Д И М

ЦитироватьВ А Д И М
Как вы могли догадаться, я не вижу противоречий в фотографиях НАСА с Марса. Цвет неба может быть разным в зависимости от времени суток, сезона, погоды (запыленности), угла над горизонтом, но для дневного неба в основном красноватого цвета с вариациями. Более точно описывать не вижу смысла на данном этапе.

А в чём по-вашему причина именно красноватого цвета в ясную безветренную погоду, а не синего??
я так вижу
(my vision)

Старый

Цитировать
ЦитироватьВадик, всё что вы делаете на этом топике это комментируете американцев как лжецов и собеседников как заблуждающихся. А себя как единственно верного знатока. По сабжу от вас ещё ничего не последовало. Это вас не красит.

Старый, ваши оценки не соответствуют объективной реальности.
Я по-прежнему считаю, что уровень интеллекта не зависит от количества сообщений в форуме, никогда не грублю собеседнику первым и всегда предпочитаю обсуждать сабж, чего и вам желаю.
А я вам разве гдетот грублю? Моя оценка какраз соответствует объективной реальности. О том что Роверы не на Марсе вы говорите как о неоспоримом факте. Вы считаете что американцы вас обманывают. О том что небо на Марсе не такого цвета вы говорите как о неоспоримом факте. Известно что специалисты планетологи и ракетостроители по этим вопросам иного мнения. вы считаете себя умнее всех этих специалистов. Так что мои оценки полностью соответствуют действительности. А почему вас так это расстраивает? Ведь вы действительно считаете американцев лжецами а специалистов дураками?
1. Ангара - единственная в мире новая РН которая хуже старой (с) Старый Ламер
2. Назначение Роскосмоса - не летать в космос а выкачивать из бюджета деньги
3. У Маска ракета длиннее и толще чем у Роскосмоса
4. Чем мрачнее реальность тем ярче бред (с) Старый Ламер

Феликс

Цитировать
Цитировать
ЦитироватьЕсли видишь бегущего кабана, то не стоит вставать перед ним в лужу на четвереньки, лучше отойти в сторону...
Да никто вобщем то длительное время и не вставал. Но так как кабан издаёт громкое раздражающее хрюканье то приходится вмешиваться...

Феликс, даже Старый не выдержал, видя ваше неадекватное поведение  
уважаемый пациент. у вас тот же симптом - вы выдаете желаемые слова за действительные, и интерпретируете чужие слова не так как их интерпретирует автор и окружающее сообщество.
На языке практикующих психиатров это один из признаков "отсутствия самокритики", явления, которое бывает при паранойе и шизофрении.
Задумайтесь, возможно вы еще не вполне потеряный для общества человек. Ведь вполне возможна ремиссия, даже в таких запущеных случаях, как ваш.

Старый

ЦитироватьВедь вполне возможна ремиссия, даже в таких запущеных случаях, как ваш.
Думаю что вряд ли. :(
1. Ангара - единственная в мире новая РН которая хуже старой (с) Старый Ламер
2. Назначение Роскосмоса - не летать в космос а выкачивать из бюджета деньги
3. У Маска ракета длиннее и толще чем у Роскосмоса
4. Чем мрачнее реальность тем ярче бред (с) Старый Ламер