KSLV-1 и KSLV-2

Автор Salo, 23.08.2008 14:38:04

« назад - далее »

0 Пользователи и 1 гость просматривают эту тему.

anik

Николай Паничкин (первый заместитель генерального директора ЦНИИмаш): "Следующий пуск KSLV-1 будет до конца 2012 года. Во второй аварии виновата высоковольтная система подрыва на второй ступени. Это однозначно установлено по телеметрии. И никакого взрыва кислородного бака на первой ступени там не было. ГКНПЦ имени Хруничева предложил южнокорейской стороне свою низковольтную систему, а также не включать ее во время работы первой ступени".

Лютич

ЦитироватьЭто косвенное подтверждение, что идут на пуск :)

Дык у  них осенью президентские выборы.
А поскольку нынешний президент, надеющийся на перевыборы, всегда поддерживал КСЛВ (в то время как оппозиция хочет кабального договора с США) - ситуация у них аховая.
Смотреть телевизор и читать газеты - моя работа.

АниКей

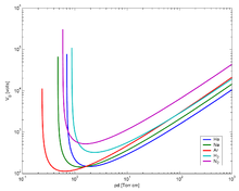
ЦитироватьМне, например, все стало ясно после сообщения о наличии киловольтного напряжения на корейской ступени. Отделение обтекателей производится в момент, когда скоростной напор уже не важен, т.е. в разреженной атмосфере, другими словами, в низком вакууме. Есть такая кривая Пашена, связывающая расстояние, напряжение и давление, так вот на этой кривой есть минимум, примерно соответствующий ситуации. Куда и в какую систему пойдет разряд и какие последствия в этой системе вызовет - предсказать невозможно, но совершенно точно известно, что он нанесет непоправимую "пользу". Смоделировать при атмосферном давлении невозможно, это даже не вопрос электромагнитной совместимости.
ИМХО, разумеется.
зы. Из опыта. При проведении тепловакуумных испытаний КА в условиях низкого вакуума (т.е. пока камера не выйдет на режим) никогда напряжение стендовых систем не было выше сотни В именно из-за этого.
ЦитироватьЕсли на пожарище находят обгорелый провод, тянущийся от обуглившегося чайника к выгоревшей розетке, то причиной пожара однозначно является система розетка-провод-чайник.
Если созданы физические условия для реализации аварийной ситуации, то они ее и вызвали.
"Если следы ведут к норе, если из норы идет запах зверя, если вы слышите из норы дыхание зверя - то зверь в норе, что бы вы там себе не думали" (Тарзан ).  
А что случилось на корейской ступени, я не знаю
Это я себя цитировал с 205й страницы темы.  Дальше Паничкин:
ЦитироватьНиколай Паничкин (первый заместитель генерального директора ЦНИИмаш): "Следующий пуск KSLV-1 будет до конца 2012 года. Во второй аварии виновата высоковольтная система подрыва на второй ступени. Это однозначно установлено по телеметрии. И никакого взрыва кислородного бака на первой ступени там не было. ГКНПЦ имени Хруничева предложил южнокорейской стороне свою низковольтную систему, а также не включать ее во время работы первой ступени".
А что, нельзя внятно людям простыми словами сказать, на что повлияло высокое напряжение, что произошло, что ж так завуалировано высказываться? Раз уж начал говорить, так до конца давай.
А кто не чтит цитат — тот ренегат и гад!

Bell

Они не скажут. Иначе придется отвечать по каком сигналу прошло АВД двигателя ;)
Иногда мне кажется что мы черти, которые штурмуют небеса (с) фон Браун
А гвоздички-то были круглые (с) Брестская крепость

anik

ЦитироватьА что, нельзя внятно людям простыми словами сказать, на что повлияло высокое напряжение, что произошло, что ж так завуалировано высказываться? Раз уж начал говорить, так до конца давай
Что он посчитал нужным, то и сказал мне. А я что запомнил, то и написал. Другие и этого не говорят.

Потусторонний

ЦитироватьЕсть такая кривая Пашена, связывающая расстояние, напряжение и давление
http://ru.wikipedia.org/wiki/%D0%97%D0%B0%D0%BA%D0%BE%D0%BD_%D0%9F%D0%B0%D1%88%D0%B5%D0%BD%D0%B0

Лютич

ЦитироватьОни не скажут. Иначе придется отвечать по каком сигналу прошло АВД двигателя ;)

А это не известно.
Поскольку после первого ударного воздействия в районе ПхО и втрой затяжной волны вибраций оттуда же телеметрия перестала поступать.
В период с момента возникновения этих аномальных явлений и до  обрыва телеметрии параметры ДУ 1-й ступени были в норме.
Смотреть телевизор и читать газеты - моя работа.

Sаlyutman

Я давно уже говорил про высоковольтную систему, ещё год назад.

Lanista

Молодцы, дожали корейцев!

Sаlyutman

ЦитироватьМолодцы, дожали корейцев!
Только вот осадочек остался...  :(

Большой

а осадочек разотрём и позабудем :P
Я верю тому кто ищет истину, и не верю тому, который говорит, что нашёл её...

Salo

Только третий экземпляр первой ступени за свой счёт сделаем.  :(
"Были когда-то и мы рысаками!!!"

Alex_II

Цитироватьа осадочек разотрём и позабудем :P
Мы то точно позабудем. А вот у корейцев память хорошая...
И мы пошли за так, на четвертак, за ради бога
В обход и напролом и просто пылью по лучу...

Зомби. Просто Зомби

Цитироватьа осадочек разотрём и позабудем :P
Останется, однако, привычка к способу "решения" технических проблем, как бэ в очередной раз "подтвержденная" практикой.

Неважно, "работает или нет", важно "добиться, чтобы подписали".
Не копать!

Tiger

ЦитироватьТолько третий экземпляр первой ступени за свой счёт сделаем.  :(

Фиг там! В сообщении сказано, что третий экземпляр будет корейцами КУПЛЕН!
(350838) = 2002 EH163 = 2011 UN192

Salo

Это сайберсекьюрити. :roll:
Трудно ожидать от корейцев аттракциона невиданной щедрости!
"Были когда-то и мы рысаками!!!"

Старый

Кстати, все выводы хруников о причине аварии основаны на полученом с рокиткама видео как вдруг внутренность переходника "заполнилась светом и дымом". Ну и соответственно начало трясти.
 Отрыв головной части скоростным напором когда потерявшая управление ракета завалилась они теперь выдают за нештатное срабатывание чегото корейского.
1. Ангара - единственная в мире новая РН которая хуже старой (с) Старый Ламер
2. Назначение Роскосмоса - не летать в космос а выкачивать из бюджета деньги
3. У Маска ракета длиннее и толще чем у Роскосмоса
4. Чем мрачнее реальность тем ярче бред (с) Старый Ламер

Sаlyutman

ЦитироватьКстати, все выводы хруников о причине аварии основаны на полученом с рокиткама видео как вдруг внутренность переходника "заполнилась светом и дымом". Ну и соответственно начало трясти.
 Отрыв головной части скоростным напором когда потерявшая управление ракета завалилась они теперь выдают за нештатное срабатывание чегото корейского.
Это слова не только хруников, но и независимой комиссии. Значит, так оно и було.  :wink:

Лютич

ЦитироватьКстати, все выводы хруников о причине аварии основаны на полученом с рокиткама видео как вдруг внутренность переходника "заполнилась светом и дымом". Ну и соответственно начало трясти.

Неа. Там еще были телеметрические данные по вибродатчикам.
Сперва короткое сильное сотрясение в ПхО, а затем растянутая волна вибраций сверху вниз. Ну и по корейской телеметрии зарегистрированы два скачка напряжения (второй точно совпал с первым сотрясением)..
Смотреть телевизор и читать газеты - моя работа.

Дмитрий В.

Цитировать
Цитироватьа осадочек разотрём и позабудем :P
Мы то точно позабудем. А вот у корейцев память хорошая...

И может быть урок пойдет им впрок, и они наконец-то научатся грамотно проектировать ракеты.
Lingua latina non penis canina
StarShip - аналоговнет!