Детонационные двигатели и некоторые другие вопросы

Автор BadgerM, 26.03.2008 13:10:00

« назад - далее »

0 Пользователи и 2 гостей просматривают эту тему.

telekast

Цитата: Старый от 29.01.2023 14:08:36А вопрос "почему же никто так не делает?" вызывает у них ответы от "не понимают физику" до "по привычке".
А негениальные трепачи, типа Старого, не понимая базовых принципов и различий мешают в кучу двс, жрд и прочее. Ответы их не игтерескют. Главное поназадавать вопросов. Ответы они сами в голове сгенерят и сами же с ними поспорят. Как обычно. 
"Вызов" - это флаговтык!
Как тебе такое, "Джон Уик" ?! (с)
"Если крыло горит, значит оно ещё есть!"(с)SN29

telekast

Цитата: Старый от 29.01.2023 14:18:51
Цитата: telekast от 29.01.2023 13:58:50У французов был опытный мотопланер с пуврд фирмы Snecma ...  Вот наглядный пример еще одного пути увеличения уи.
Я же вам говорил, джентльмены, что для гениального изобретателя что воздушно-реактивный что жидкостно-реактивный двигатель, что пульсирующий что детонационный - одно и то же. Зато использование детонации в двигателе внутреннего сгорания это другое! :)
Ты в очередной раз демонстрируешь свое искусство приготовления салата. Ты ничего не понял ни из открыьия Челомея, ни из работ французов, просто привычнл свалил все в кучу, пеоемншал приписал этот винешрет оппоненту и сам же над этим поржал. О чем с ьобой говорить. 
"Вызов" - это флаговтык!
Как тебе такое, "Джон Уик" ?! (с)
"Если крыло горит, значит оно ещё есть!"(с)SN29

telekast

Цитата: Старый от 29.01.2023 14:34:18
Цитата: telekast от 29.01.2023 14:29:20Тепловые даигатели "без цикла"  не работают. В жрд цикл Брайтона.
По циклу Брайтона работают воздушно-реактивные двигатели.
 А какой по твоему цикл в РДТТ? ;)
Знаток. ;D 

Отсюда https://studfile.net/preview/3909630/page:8/
А это про цикл Брайтона 
https://ru.m.wikipedia.org/wiki/%D0%A6%D0%B8%D0%BA%D0%BB_%D0%91%D1%80%D0%B0%D0%B9%D1%82%D0%BE%D0%BD%D0%B0
Там тоже ыоомкла есть, найди отличия, кроме буковок.  ;D
"Вызов" - это флаговтык!
Как тебе такое, "Джон Уик" ?! (с)
"Если крыло горит, значит оно ещё есть!"(с)SN29

Старый

Цитата: telekast от 29.01.2023 18:51:11Ты ничего не понял ни из открыьия Челомея, ни из работ французов,
Конечно. Куда мне.
Цитата: telekast от 29.01.2023 18:51:11О чем с ьобой говорить.
Хорошая мысль.
1. Ангара - единственная в мире новая РН которая хуже старой (с) Старый Ламер
2. Назначение Роскосмоса - не летать в космос а выкачивать из бюджета деньги
3. У Маска ракета длиннее и толще чем у Роскосмоса
4. Чем мрачнее реальность тем ярче бред (с) Старый Ламер

Старый

Цитата: telekast от 29.01.2023 19:01:26
ЦитироватьА какой по твоему цикл в РДТТ? ;)
Знаток. ;D 
Не понял ответа.
1. Ангара - единственная в мире новая РН которая хуже старой (с) Старый Ламер
2. Назначение Роскосмоса - не летать в космос а выкачивать из бюджета деньги
3. У Маска ракета длиннее и толще чем у Роскосмоса
4. Чем мрачнее реальность тем ярче бред (с) Старый Ламер

telekast

Цитата: Старый от 29.01.2023 14:58:03Энергия направленного движения молекул
"Физика Старого" (с)
Из серии "В военное время значение синуса может достигать 3!"(с) ;D
"Вызов" - это флаговтык!
Как тебе такое, "Джон Уик" ?! (с)
"Если крыло горит, значит оно ещё есть!"(с)SN29

mihalchuk

Цитата: Старый от 29.01.2023 18:19:46
Цитата: mihalchuk от 29.01.2023 18:04:25
Цитировать
ЦитироватьНо при этом образуются высокие температуры,
Для водородных двигателей это непринципиально.
Принципиально? Существенно везде, где уходят от стехиометрии, включая водород.
Высокие температуры не принципиальны так как водород - хороший охладитель. Поэтому от стехиометрии уходят исключительно ради повышения УИ.
Ты как-то обрезал цитата, и в результате говоришь то же, что и я.

telekast

Цитата: Старый от 29.01.2023 19:02:21
Цитата: telekast от 29.01.2023 19:01:26
ЦитироватьА какой по твоему цикл в РДТТ? ;)
Знаток. ;D
Не понял ответа.
Тебе быд дан ответ на твои экзерциссы по поаоду цикла жрд. Насчет цикла Брайтона вопросов больше нет?
А с обсуждением очередного твоего "асфальтового катка" в автодорожный.
"Вызов" - это флаговтык!
Как тебе такое, "Джон Уик" ?! (с)
"Если крыло горит, значит оно ещё есть!"(с)SN29

Старый

Цитата: telekast от 29.01.2023 19:06:07
Цитата: Старый от 29.01.2023 14:58:03Энергия направленного движения молекул
"Физика Старого" (с)
Из серии "В военное время значение синуса может достигать 3!"(с) ;D
То есть школьную физику ты не только не знал но и до сих пор не знаешь?
Не забывай что ты один на всём форуме демонстрируешь на себе что представляют собой сторонники "детонационных ЖРД". Я думаю уже достаточно.
1. Ангара - единственная в мире новая РН которая хуже старой (с) Старый Ламер
2. Назначение Роскосмоса - не летать в космос а выкачивать из бюджета деньги
3. У Маска ракета длиннее и толще чем у Роскосмоса
4. Чем мрачнее реальность тем ярче бред (с) Старый Ламер

Старый

Цитата: telekast от 29.01.2023 19:09:51Гасчет цикла Брайтона вопросов больше нет?
У меня и не было никаких вопросов. У меня был к тебе вопрос по какому циклу работает РДТТ.
1. Ангара - единственная в мире новая РН которая хуже старой (с) Старый Ламер
2. Назначение Роскосмоса - не летать в космос а выкачивать из бюджета деньги
3. У Маска ракета длиннее и толще чем у Роскосмоса
4. Чем мрачнее реальность тем ярче бред (с) Старый Ламер

telekast

#2390
Цитата: Старый от 29.01.2023 19:11:19
Цитата: telekast от 29.01.2023 19:09:51Гасчет цикла Брайтона вопросов больше нет?
У меня и не было никаких вопросов. У меня был к тебе вопрос по какому циклу работает РДТТ.
Не надо, ты заяаил, что цикл Брайтона этотцикл воздушно-реактивных двигателей. И слово "воздушных" выделил. Я тебе с фактами и ссылками на учебную литературу показал, что в жрд используется тот же цикл Брайтона.
Твой вопрос про твердотопливники игнорируется, тк про них разговора не шло, а в очередной раз уходить в сторону и бодаться с тобой во флудерстве у меня нет настроения.
"Вызов" - это флаговтык!
Как тебе такое, "Джон Уик" ?! (с)
"Если крыло горит, значит оно ещё есть!"(с)SN29

telekast

Цитата: Старый от 29.01.2023 19:10:22
Цитата: telekast от 29.01.2023 19:06:07
Цитата: Старый от 29.01.2023 14:58:03Энергия направленного движения молекул
"Физика Старого" (с)
Из серии "В военное время значение синуса может достигать 3!"(с) ;D
То есть школьную физику ты не только не знал но и до сих пор не знаешь?
Не забывай что ты один на всём форуме демонстрируешь на себе что представляют собой сторонники "детонационных ЖРД". Я думаю уже достаточно.
Физику школьную ты скурил на перемене. Потому что в школьной физике нет "энергии направленного движения молекул". Есть энергия, давление, температура потока.
Что ты один демонстрируешь на форуме давно известно. ;D
"Вызов" - это флаговтык!
Как тебе такое, "Джон Уик" ?! (с)
"Если крыло горит, значит оно ещё есть!"(с)SN29

Старый

Цитата: telekast от 29.01.2023 19:27:02
Цитата: Старый от 29.01.2023 19:11:19
Цитата: telekast от 29.01.2023 19:09:51Гасчет цикла Брайтона вопросов больше нет?
У меня и не было никаких вопросов.
Не надо, ты заяаил, что цикл Брайтона этотцикл воздушно-реактивных двигателей.
Это был не вопрос, это было утверждение. Если ты увидел знак вопроса то это глюк.
Цитата: telekast от 29.01.2023 19:27:02Твой аопрос про твердотопливника игнорируется, тк про них разговораине шло, а в очередной раз уходить в сторону и бодаться с тобой вл флудерстве у меня нет настроения. 
Аааа! РДТТ работает не потому же циклу по которому ЖРД? ;)
1. Ангара - единственная в мире новая РН которая хуже старой (с) Старый Ламер
2. Назначение Роскосмоса - не летать в космос а выкачивать из бюджета деньги
3. У Маска ракета длиннее и толще чем у Роскосмоса
4. Чем мрачнее реальность тем ярче бред (с) Старый Ламер

Старый

Цитата: telekast от 29.01.2023 19:31:36Физику 8кольную ты скурил на перемене. Потому что в школтной ыизике нет "энергии направленного движенич молекул". Есть энергия, давление, температура потока.
Что ты один демонстрируешь на форуме давно известно. 
Чисто на всякий случай. Из Педивикии:
Цитировать... мерилом температуры является не само движение, а хаотичность этого движения. Хаотичность состояния тела определяет его температурное состояние, и эта идея (которая впервые была разработана Больцманом), что определённое температурное состояние тела вовсе не определяется энергией движения, но хаотичностью этого движения, и является тем новым понятием в описании температурных явлений, которым мы должны пользоваться...
Только не говори что Капица скурил учебник.
1. Ангара - единственная в мире новая РН которая хуже старой (с) Старый Ламер
2. Назначение Роскосмоса - не летать в космос а выкачивать из бюджета деньги
3. У Маска ракета длиннее и толще чем у Роскосмоса
4. Чем мрачнее реальность тем ярче бред (с) Старый Ламер

Serge V Iz

С одной стороны... Но, с другой стороны!...
 ;D
Вы не можете просматривать это вложение.

telekast

Цитата: Serge V Iz от 29.01.2023 19:43:12С одной стороны... Но, с другой стороны!...
 ;D
Вы не можете просматривать это вложение.
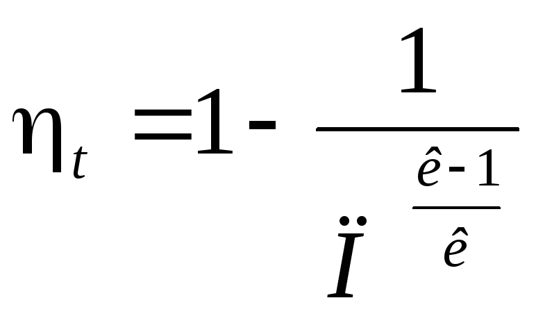
Выше дана ссылка на цикл Брайтона и "цикл жрд". Формулы идентичны. Если формулы циклов совпадают, то и циклы совпадают. Нет?  ;)
"Вызов" - это флаговтык!
Как тебе такое, "Джон Уик" ?! (с)
"Если крыло горит, значит оно ещё есть!"(с)SN29

Serge V Iz

*формулы одного из сомножителей

в определении полного КПД - совпадают, безусловно. Как и отмеченные на рисунке участки.

ЗЫ. Это же все равно имеет значение лишь в своей области применения. Вон, у турбовинтовых с высокой двухконтурностью _средние_ по совокупности контуров параметры газа совсем скромные, а какова топливная эффективность? ) Только что это даст ракете?


SONY

Цитата: Старый от 29.01.2023 06:21:20Равный обычному.
Нет, не равный. Особенно на высоких оборотах, когда в обычном двигателе топливо может гореть аж до конца рабочего хода.
Цитата: mihalchuk от 29.01.2023 10:08:22Ну значит да, как сказано выше, не всё топливо сгорает. У керосинового топлива будет, по памяти, 8,5 МДж/кг, или немного выше, но не 10+.
Память вас очень сильно подводит.
Вы не можете просматривать это вложение.
Вы не можете просматривать это вложение.

SONY

Цитата: Serge V Iz от 29.01.2023 11:36:32Цвет пламени угарного газа не имеет ничего общего с цветом факела керосинового ЖРД. Там явно догорает ещё не окисленный углерод. Который, в стехиометрии, - основной потребитель кислорода, т.е., даже малая несгоревшая его часть влечет...
Возле стенок впрыскивается чистый керосин, без кислорода. Он защищает стенки, но, разумеется, не сгорает полностью.
Относительно общего количества керосина его расход весьма мал, но для окраски пламени более чем хватает.

Старый

Цитата: SONY от 29.01.2023 21:27:54Нет, не равный. Особенно на высоких оборотах, когда в обычном двигателе топливо может гореть аж до конца рабочего хода.
Есть опережение зажигания которое поджигает смесь так что к моменту достижения верхней точки уже значительная часть её сгорает. :)
Скорость сгорания конечно играет роль в тактных двигателях с движущимися поршнями. Но никак не "повышение температуры и давления за счёт детонации".
1. Ангара - единственная в мире новая РН которая хуже старой (с) Старый Ламер
2. Назначение Роскосмоса - не летать в космос а выкачивать из бюджета деньги
3. У Маска ракета длиннее и толще чем у Роскосмоса
4. Чем мрачнее реальность тем ярче бред (с) Старый Ламер