Super Heavy/Starship (В12/S30) – пятый испытательный полет - Starbase - 13.10.2024 12:25 UTC

Автор V.B., 11.05.2024 11:06:36

« назад - далее »

0 Пользователи и 1 гость просматривают эту тему.

cross-track

Цитата: GolLem от 13.10.2024 18:32:55Теперь самое время свернуть программу "Старшип" с позиции силы.
Показали что "могём", а теперь пора браться за более солидные проекты.
Некая аналогия с Энергией и Бураном.
Пока полноценный виток с автоматической посадкой на руки Мехазиллы не сделают - никаких сверток! Кстати, а руки Мехазиллы сводились автоматически, или это Маск сотоварищи управляли руками в ручном режиме?!
Live and learn

cross-track

Цитата: Surt от 13.10.2024 18:36:31
Цитата: Boris  Mekler от 13.10.2024 18:29:51
Цитата: Surt от 13.10.2024 18:23:00и вы так то подумайте у этой дурынды на межконтинентальной дальности точность ЛУЧШЕ чем у баллистических ракет. Причем, вероятно, существенно лучше
У самолётов на межконтинентальной дальности точность не хуже. Старшип имеет довольно продолжительный участок с аэродинамическим управлением, и в трансляции упомянули что в прошлый раз, повреждение плавников сильно ухудшило точность попадания.

если телеметрия трансляции верна оно весьма долго летело на 60 - 70 км почти горизонтально, на скорости этак 15-20 М
Я же говорю - гиперзвуковой управляемый блок!
Live and learn

telekast

Цитата: Surt от 13.10.2024 18:36:31
Цитата: Boris  Mekler от 13.10.2024 18:29:51
Цитата: Surt от 13.10.2024 18:23:00и вы так то подумайте у этой дурынды на межконтинентальной дальности точность ЛУЧШЕ чем у баллистических ракет. Причем, вероятно, существенно лучше
У самолётов на межконтинентальной дальности точность не хуже. Старшип имеет довольно продолжительный участок с аэродинамическим управлением, и в трансляции упомянули что в прошлый раз, повреждение плавников сильно ухудшило точность попадания.

если телеметрия трансляции верна оно весьма долго летело на 60 - 70 км почти горизонтально, на скорости этак 15-20 М
Вы что-то путаете, кмк. В горизонт СШ перешёл километрах на 30 и скорости 4-5М, а то и позже.
Имху
"Вызов" - это флаговтык!
Как тебе такое, "Джон Уик" ?! (с)
"Если крыло горит, значит оно ещё есть!"(с)SN29

telekast

Цитата: cross-track от 13.10.2024 18:36:57
Цитата: GolLem от 13.10.2024 18:32:55Теперь самое время свернуть программу "Старшип" с позиции силы.
Показали что "могём", а теперь пора браться за более солидные проекты.
Некая аналогия с Энергией и Бураном.
Пока полноценный виток с автоматической посадкой на руки Мехазиллы не сделают - никаких сверток! Кстати, а руки Мехазиллы сводились автоматически, или это Маск сотоварищи управляли руками в ручном режиме?!
В костюме-аватаре жеж! ;D
"Вызов" - это флаговтык!
Как тебе такое, "Джон Уик" ?! (с)
"Если крыло горит, значит оно ещё есть!"(с)SN29

ololsh

Цитата: ololsh от 13.10.2024 18:12:54Бустер выглядит как целый)
фото после посадки если че
  Изображение
Понял что в России картинки с твиттера не открываются, перезалил, теперь должно показываться

Vlad_hm

Метан всё же отличная штука, чистенько так всё...

strat

перед захватом бустер сбрасывал излишки метана через заправочную горловину, которые загорелись, запас был видимо на случай аварийного увода в океан, в случае отказа мехазиллы  :) 
надо туда трубочку продувки азотом примотать изолентой

Дем

Цитата: telekast от 13.10.2024 18:39:26Вы что-то путаете, кмк. В горизонт СШ перешёл километрах на 30 и скорости 4-5М, а то и позже.
В вертикальное падение. А на 90км он горизонтально летел теряя скорость
Летать в космос необходимо. Жить - не необходимо.


heingeiv

Цитата: Dulevo от 13.10.2024 17:51:11на выжившую плитку было бы неплохо посмотреть.

С другой стороны - в следующий полет можно  попробовать опустить на землю.
Быстрее будет чем вылавливать этот.
Тут интересно - они после IFT-3 не пробовали еще в полете двигатели перезапускать, так что ФАА может захотеть  отдельно проверить этот момент, прежде чем ронять шип над населёнными территориями. А у них, вроде, последний шип первой версии остался? Предусмотрены ли ноги в StarshipV2, или будут сразу на башню вешаться?

Shenaar

Цитата: Surt от 13.10.2024 18:36:31
Цитата: Boris  Mekler от 13.10.2024 18:29:51
Цитата: Surt от 13.10.2024 18:23:00и вы так то подумайте у этой дурынды на межконтинентальной дальности точность ЛУЧШЕ чем у баллистических ракет. Причем, вероятно, существенно лучше
У самолётов на межконтинентальной дальности точность не хуже. Старшип имеет довольно продолжительный участок с аэродинамическим управлением, и в трансляции упомянули что в прошлый раз, повреждение плавников сильно ухудшило точность попадания.

если телеметрия трансляции верна оно весьма долго летело на 60 - 70 км почти горизонтально, на скорости этак 15-20 М
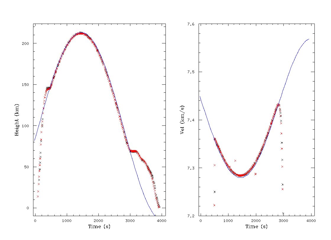
Вот графики. Красным - это полёт, чёрным - предыдущий. Синим - модель (без понятия, какая). Источник: https://x.com/planet4589/status/1845469678849683793
Изображение

telekast

Цитата: heingeiv от 13.10.2024 19:02:46
Цитата: Dulevo от 13.10.2024 17:51:11на выжившую плитку было бы неплохо посмотреть.

С другой стороны - в следующий полет можно  попробовать опустить на землю.
Быстрее будет чем вылавливать этот.
Тут интересно - они после IFT-3 не пробовали еще в полете двигатели перезапускать, так что ФАА может захотеть  отдельно проверить этот момент, прежде чем ронять шип над населёнными территориями. А у них, вроде, последний шип первой версии остался? Предусмотрены ли ноги в StarshipV2, или будут сразу на башню вешаться?
Как Альфацентавра сказали, что СШ может пока запускать движки только два раза, потому не тормозят на орбите и ТД. Что о там с наддува бака кислорода газом из тна, а он пока грязный, с водой и СО2, иод из-за этого, попадания СО2 и воды в какой-то прошлый раз не запустились все двигатели СШ. В этот раз там были отдельные маленькие баки с кислородом чисто для посадки. И ещё что-то.
Имху 
"Вызов" - это флаговтык!
Как тебе такое, "Джон Уик" ?! (с)
"Если крыло горит, значит оно ещё есть!"(с)SN29

ololsh


Георгий

Интересно, а не переместится ли Маск ближе к экватору, когда начнет массово что-то возить на орбиту. 5% гп то не лишние.
А может вообще поставит мехазиллу на гору Кения или Лесатима, еще 5% гп

Если вдруг демократы снова устроят беспредел с выборами, выберут Харрис, припомнят Маску все, то он вернется в родную Африку ))

algol5720

Цитата: ololsh от 13.10.2024 19:40:34Ждём следующий полет в этом году?

Как-то странно про профиль.Таким образом если Маск будет топтаться на месте и не рыпаться,то балуйся сколько хошь со своей игрушкой... ;)

metelica

Цитата: GolLem от 13.10.2024 16:11:31
Цитата: duplex от 13.10.2024 16:08:06"Двигатели - фуфло !"(с)
"Люминь рулит !"(с)
"Сопромат, сопромат!!!"(с)
Ну что, Конвекс ? Как тебе такой "люминь"?! ;D ;D ;D

Ваши потуги на подколки будут иметь силу только после вывода ПН и реюзов.
GolLem - новая инкарнация azvoz`а?

GolLem

Цитата: ololsh от 13.10.2024 19:40:34Ждём следующий полет в этом году?

FAA подтвердили информацию о том, что в случае если профиль 6-го полёта не будет меняться, то новая лицензия не требуется
t.me/StarshipNewsLive/8852
Полет с тем же профилем - полная глупость.
Но с другой стороны, откровенный цирк с "запретами" показал явный сговор
- как только Старшип реально готов - разрешение дается мгновенно.

Поэтому срок следующего полета зависит исключительно от готовности Старшипа 6й тестовой миссии.


ТТоварищ

Полёт чёткий, но бесперспективный.
Конца края тестам не видно.

Если я не прав, то уже в этом году СпэйсЭкс посадит верхний Старшип,
а до весны 2025 года повторно запустит ступень.
Все безграмотные дилетанты (и жулики) любят
мюПГ, Крылья, Многоразовость,
Орбитальные станции, Марс, Водород, Р7

Андрюха

Так бабахнул один из двигателей у Старшина перед приводнением или нет? ::)

heingeiv