NROL-79: Intruder 12A & 12B - Atlas V 401 (AV-068) - Ванденберг SLC-3E - 01.03.2017, 17:50 UTC

Автор Salo, 20.10.2016 00:50:21

« назад - далее »

0 Пользователи и 2 гостей просматривают эту тему.

Безумный Шляпник

А независимые наблюдатели уже видят двоих.

instml

Цитироватьvadimr пишет:
ЦитироватьЧебурашка пишет:
Как же всё таки тяжко 401-ый Атлас от Земли отрывается. Вот 551 просто пулей выстреливает.
Для космической ракеты, чем медленнее - тем лучше.

С МБР забавно сравнить.
А вот и нифига...
Go MSL!

Безумный Шляпник

ЦитироватьБезумный Шляпник пишет:
Первый: USA-274, 2017-011A, SCN 42058
А второй, судя по всему, будет SCN 42059.
SCN 42060 был уже занят вне очереди, а SCN 42061 ушел объекту китайского запуска 2017-012.

tnt22

Цитировать Scott Tilley‏ @coastal8049 9 ч. назад

#NROL79 NOSS payload shows ground locking activity, i.e. it's talking to home... Visual obs confirm 2 payloads http://www.satobs.org/seesat/Mar-2017/0005.html ...
 
http://www.satobs.org/seesat/Mar-2017/0005.html
ЦитироватьNOSS 3-8 imaged this morning, March 2 at 4h18m UT
Спойлер
From: Alain Figer via Seesat-l <seesat-l_at_satobs.org>
 Date: Thu, 2 Mar 2017 13:25:22 +0100
 
Hi all,

Through rather poor skies (naked eye limiting mag 3) I managed tophotograph the pass of NOSS 3-8 in Cassiopeia, using a Canon EOS 6D + 200mmteleobjective at f/2.8 (field 11° x7°).37 photos taken in 2 fields do show both satellites ; each image being of3.2 s exposure at 1250 ISO.The culmination was predicted by Calsky at 4h15m59s UT ; h: 26°8 NNW.

Using binoculars 10x50 I also detected visually the brighter component atabout mag 5- 5.5 near Iota Cas. It was already fainter near Alfa Cas due tophase angle and lower height above horizon.This suggests a possible standard magnitude of 3.5- 4 for the brightercomponent.

The leader was the fainter component, being about 1.5 - 2 mag fainter thanthe follower, what is about mag 7.

Both objects were close to each other. The bright follower was 1.7 secondlate in respect to the faint leader.

With Ted Molczan elements for 17060.82372686, I found that the brightfollower was 12.6 seconds early using the Calsky ephemeris for object2017-951-A (or 13.4 seconds early using a Guide ephemeris computed by myfriend in Meudon using the same elsets).

The main measurement was done using the appulse to HD 5408 (a brightneighbour of Gamma Cas)

Observed at : 4h18m14.7s UTCalsky prediction : 4h18m27.3s UT.O-C = -12.6 s.

My friend noticed the launch did happen at 17:49:51 according to ULA, whatis 9 s before the timing (17:50:00) that Ted Molczan had hypothetized forit.

Regards

Alain Figer48.6727° N ; 2.1282° E ; 168 m a.s.l.
[свернуть]

tnt22

Цитировать Dr Marco Langbroek‏ @Marco_Langbroek 2 ч. назад

The images in my previous tweet are from two consecutive passes, Faint B-object is leading.

Dr Marco Langbroek‏ @Marco_Langbroek 2 ч.2 часа назад

Tracked the classified #NROL79 payloads (a new NOSS duo, NOSS 3-  8)  from the March 1 launch tonight from #Leiden. Hazy sky, B-object faint.
 
 

tnt22

Цитировать Dr Marco Langbroek‏ @Marco_Langbroek 2 ч.назад

The #NROL79 payloads (see photo's in previous) are currently in a 63.46 degree inclined, 1010 x 1204 km orbit. They are about 45 km apart.
 

tnt22

https://sattrackcam.blogspot.ru/2017/03/tracking-nrol-79-new-noss-duo.html
ЦитироватьFriday, 3 March 2017

Tracking NROL-79, a new NOSS duo
Спойлер
Launch of NROL-79 from Vandenberg on March 1, 17:49 UT (photo ULA)
[свернуть]
On March 1, 2017, at 17:50 UT,  an Atlas V rocket was launched from Vandenberg with a classified (double) payload for the National Reconnaissance Office (NRO) onboard. It was the 70th Atlas V mission, and the 14th NRO launch using this launch vehicle.
 
 The two payloads were launched towards a southern direction into a 63.46 degree inclined, 1010 x 1204 km orbit. The payloads are almost certainly a new set of NOSS (Naval Ocean Surveillance System) satellites, NOSS 3-8 (NOSS satellites are also known under the code name INTRUDER). These are SIGINT/ELINT satellites operating in close, formation flying pairs. The purpose of these satellites is to geolocate radio signals, notably signals originating from ships. In order to keep their mutual distance  stable, they operate in 63.4 degree orbits, a critical inclination which keeps perigee in a stable position.
Спойлер
This is the 8th launch in the third generation of these spacecraft.
 
 Based on estimated search elements, both payloads were quickly picked up by amateur trackers. Russell Eberst in Scotland and Alain Figer in France first spotted them about 10 hours after the launch, on March 2.  Paul Camilleri in Australia soon followed. I was clouded out that night, but the next night (March 3) was clear in Leiden, and I managed to image the payloads on two consecutive passes, albeit under a somewhat hazy sky. It was also imaged by Leo Barhorst that same night.
 
 Below are two of my images of the two payloads chasing each other, from consecutive passes, obtained from Leiden under a hazy sky (click them to enlarge):


 NROL-79 payloads, image 3 March 2017, 1:43 UT (click to enlarge)

In the image above taken during the first pass near 1:43 UT, the objects are moving from top to bottom through a field in Cygnus. In the image below, from the second pass, they are moving from left to right. Note the difference in brightness between the two objects, noticable during this second pass:


 NROL-79 payloads, image 3 March 2017, 3:31 UT (click to enlarge)

The NOSS components are usually designated A and B (sometimes A & C). For the moment, we have named the fainter leading object B. The objects are currently still quite faint, indicating that they have not yet deployed their solar arrays and other gear.
 
 The B object is usually catalogued as "debris" by JSpOC, but this is a ruse: in reality it is a functional payload (as it manoeuvres and carefully stationkeeps with the A component during its operational years).
 
 Our current tracking data established that they are in a 63.46 degree inclined, 1010 x 1204 km orbit. The two payloads are about 45 km apart in space.



Over the coming days, they will likely make manoeuvres to finalize their orbits and respective positions.
 
 The respective distances of current still operational NOSS pairs (NOSS 3-3 to 3-7) varies between 39.5 and 55 km.
[свернуть]

tnt22

http://www.satobs.org/seesat/Mar-2017/0019.html
ЦитироватьUpdated NOSS 3-8 (NROL-79) elements

...
 From: Marco Langbroek via Seesat-l <seesat-l_at_satobs.org>
 Date: Fri, 3 Mar 2017 06:20:13 +0100
 
The following updated elements are based on observations by Russell Eberst,Alain Figer, Paul Camilleri, Leo Barhorst and Marco Langbroek over a one day arc:

NOSS 3-8A                                     1010 x 1204 km
1 42058U 17011A 17062.13040277 0.00000000 00000-0 00000+0 0 01
2 42058 63.4598 147.2939 0129673 179.6907 180.4220 13.40576702 00

rms 0.04 deg                           from 27 obs Mar 2.18 - Mar 3.15

NOSS 3-8B                                       1010 x 1204 km
1 42059U 17011B 17062.13033464 0.00000000 00000-0 00000+0 0 02
2 42059 63.4606 147.2986 0129868 179.4854 180.6328 13.40645608 01

rms 0.03 deg                         from 20 obs Mar 2.18 - Mar 3.15

- Marco
-----
Dr Marco Langbroek - SatTrackCam Leiden, the Netherlands.
...

tnt22

#128
Не прошло и полгода...
Пресс-релиз NRO
http://www.nro.gov/news/press/2017/01-17.pdf
Цитировать
National Reconnaissance Office Release

Release #01-17
March 3, 2017

NROL-79 Lifts Off on March 1, 2017
A National Reconnaissance Office (NRO) payload was successfully launched aboard a United Launch Alliance Atlas V rocket from Space Launch Complex-3, Vandenberg Air Force Base (VAFB), California, 
at 9:50 a.m. PST, March 1.

"I congratulate everyone who made this morning's launch a success. Without the dedicated commitment from our government and industry teams, working together as one, it would not have been possible. All their hard work has contributed to providing superior vigilance from above for the Nation," said Colonel Matthew Skeen, USAF, Director, NRO Office of Space Launch.

NROL-79 is the first of five 2017 NRO launches. The next NRO launch is on schedule for April, from
Cape Canaveral Air Force Station (CCAFS), Florida.


-NRO-
The NRO is a joint Department of Defense–Intelligence Community organization responsible for
developing, launching, and operating America's intelligence satellites to meet the national security needs of our nation.

tnt22

Независимые наблюдатели...
Из Канады
Цитировать Scott Tilley‏ @coastal8049 11 ч. назад

#NROL79 confirmed both s/c are active on s-band. However, my last incorrect. 42058, follower A on 2222.5MHz & 42059, leader B on 2277.5MHz.
 
Спойлер

[свернуть]
и Нидерландов
Цитировать Cees Bassa‏ @cgbassa 10 ч. назад

Same #NROL79 results from Europe (using http://github.com/cbassa/strf ); NOSS 3-8A on 2222.5MHz, B on 2277.5MHz. No more groundlocks. @coastal8049
Спойлер


[свернуть]
подтверждают достоверность TLE-наборов Dr Marco Langbroek.
n2yo также ведёт сопровождение USA-274 и объекта B по этим наборам...

tnt22

После утреннего запуска Lemur'ов с МКС...
Цитировать Jonathan McDowell‏Подлинная учетная запись @planet4589 8 мин. назад

Space-Track has 42059 as one of the newly deployed ISS cubesats, not as the second USA 274 payload


tnt22

Цитировать Jonathan McDowell‏Подлинная учетная запись @planet4589 5 мин. назад

The secret second payload from the recent Atlas NROL-79 launch has been cataloged as 42065, although Space-Track falsely claims it's debris

tnt22

Цитировать Jonathan McDowell‏Подлинная учетная запись @planet4589 13 мин. назад

Hobbyist observations confirm that the second NROL-79/USA-274 object is actively changing its orbit, so it's a rather odd kind of debris
Хороши обломки - маневрируют, однако  :D

tnt22

Цитировать Dr Marco Langbroek‏ @Marco_Langbroek 10 мар.

The #NROL79 payloads (NOSS 3-8 A & B), launched 8 days ago, imaged last night. Movement is from top to bottom, B object leading. @SSC_NL
  
 Dr Marco Langbroek‏ @Marco_Langbroek 10 мар.

(cont.) NOSS (Naval Ocean Surveillance System), aka INTRUDER, operate in pairs flying in close formation. They are SIGINT/ELINT spy sats.

 Dr Marco Langbroek‏ @Marco_Langbroek 10 мар.

(cont.) The two objects appear to be brighter now than a few days ago, suggesting appendages have unfolded. #NROL79 was launched 8 days ago.

tnt22

Цитировать Scott Tilley‏ @coastal8049 20 мин. назад

New radio activity noticed from #NROL79 payload 42058, object A on unusual frequency for NOSS mission s.
 
 

tnt22

https://sattrackcam.blogspot.ru/2017/03/noss-3-7-nrol-79-dancing-in-dark.html
ЦитироватьSunday, 19 March 2017

NOSS 3-7 (NROL-79): Dancing in the Dark
Спойлер
click image to enlarge
[свернуть]
The image above shows the new NOSS 3-8 duo (2017-011 A & B, launched as NROL-79 on March 1, see my earlier blog post here), aka USA 274, imaged on March 12 through very thin cirrus.
 
 Over the past 2.5 weeks a number of us (Leo Barhorst, Cees Bassa and me in the Netherlands; Russell Eberst in Scotland; Alain Figer in France; and Paul Camilleri in Australia) have been chasing this duo and monitored their manoeuvering, consisting of small adjustments in apogee and perigee and orbital period.
Click diagram to enlarge

I expect their manoeuvering to be complete by 21 days (3 weeks) after launch, i.e. near March 23.
They will then have attained their finalized separation distance. I expect this initial operational distance to be about 45 km. I do not exclude further small manoeuvres after March 23 though, but these will be more as a pair, and not with respect to each other.
 
Спойлер
NROL-79 consists of a NOSS (Naval Ocean Surveillance System) duo: two payloads orbiting as a close pair (typically 30-55 km). The second object is  catalogued as "debris" by JSpOC (they did this with all second payloads of NOSS launches), but isn't: after all, real debris shouldn't manoeuvre, and shouldn't stationkeep with respect to the other payload.
click diagram to enlarge
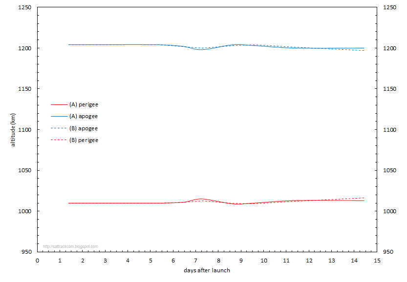
After insertion in a 1010 x 1204 km, 63.45 degree inclined orbit, the two payloads started an intricate dance in space, step by step positioning themselves with respect to each other.
 
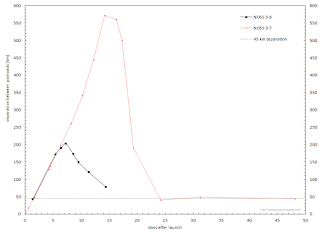
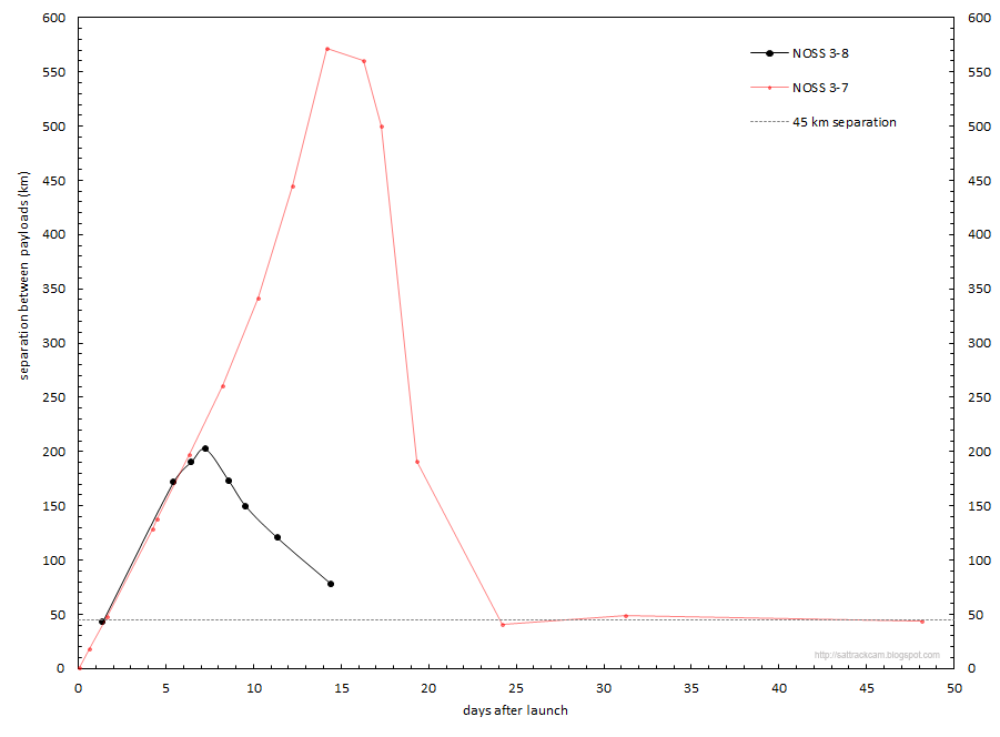
 In the initial week after launch the two payloads separated at a rate of ~31-32 kilometer per day, to a maximum separation of just over 200 km on Day 7. Then their drift reversed, with the two payloads gradually moving closer again (see diagram above, which also gives similar data for a previous NOSS launch, NROL-55 (NOSS 3-7) from 2015). Extrapolating the drift, and looking at the previous NOSS launch, I expect that by the end of the 3rd week after lauch (~March 23, 2017) the two payloads will reach their intended separation of ~45 km, and stabilize with respect to each other.
 
 It is interesting to note the difference with the previous NOSS launch, NOSS 3-7, also depicted in the diagram. The latter initially drifted further apart, and for a longer time: the separation increased until 14 days after launch (double as long as for the current case), to as much as ~570 km (almost three times as large as the current case), before the two objects started to move closer again.
 
 In the image below, taken three days apart on March 10 and March 13, the decrease in distance over time after the first week can clearly be noted (in the images, movement is from top to bottom and the B-object is leading). The images show the payloads in roughly the same part of the sky (bright stars are 1, 10 and 13 Cyg):
click image to enlarge
A first major manoeuvre occurred on day 6, when both payloads lowered their orbital period:
click diagram to enlarge
Around that same date, the visual brightness of the two objects changed. The latter probably signifies the deployment of something on the payloads: either antennae, or perhaps panels used to make minor orbital adjustments by decreasing or increasing drag (it has long been rumoured that this is one of the ways the NOSS payloads maintain their bond).
 
 The pattern between the current launch and the previous launch is similar (although I have a suspicion that for the previous NROL-55 launch in 2015, analysts switched the identitities of the two objects around day 6): a major orbital period adjustment on day 6, after which one of the payloads gradually increases its orbital period again while the other very slowly decreases its orbital period. But what can be seen is that for the current case, the values for both payloads stay much more similar than was the case with the previous launch, just as with the evolution of the spatial separation of the two. One of the things this could point to is that, perhaps, the initial orbit insertion of NROL-79 went better than for NROL-55, but this is speculation.
 
 Note: orbital calculations for NROL-79 used were done by myself using observational data from the persons mentioned in the main text. The NROL-55 orbit calculations from 2015 were by Mike McCants and  Ted Molczan. I am indebted to Leo Barhorst and Bram Dorreman for their help in filling gaps in my archive of orbits for the latter object.
[свернуть]
Posted by SatTrackCam Leiden at 3/19/2017 05:32:00 pm
Прим. Автор, скорее всего, (вольно или невольно) допустил опечатку в названии статьи - должно быть не NOSS 3-7, а NOSS 3-8

tnt22

Цитировать Dr Marco Langbroek‏ @Marco_Langbroek 2 ч. назад

After much manoeuvering the two #NROL79 payloads (NOSS 3-8 A & B) have almost reached their operational separation of ~50 km. @SSC_NL


tnt22

Очередное обновление элементов орбит "сладкой парочки"
http://www.satobs.org/seesat/Mar-2017/0140.html
ЦитироватьUpdated NOSS 3-8 (NROL-79) elements

...
From: Marco Langbroek via Seesat-l <seesat-l_at_satobs.org>
 Date: Wed, 22 Mar 2017 11:29:22 +0100

 The following updated elements are based on observations by Leo Barhorst, CeesBassa, Russell Eberst, Alberto Rango, Dave Waterman and Marco Langbroek:

NOSS 3-8 (A) 1014 x 1199 km
1 42058U 17011A 17081.14967525 0.00000000 00000-0 00000+0 0 07
2 42058 63.4408 98.9850 0123629 179.0619 181.0661 13.40841091 05

rms 0.02 from 37 observations March 21.13 - March 22.18

NOSS 3-8 (B) 1013 x 1199 km
1 42065U 17011B 17081.14958563 0.00000000 00000-0 00000+0 0 07
2 42065 63.4428 98.7921 0123872 179.1570 180.9687 13.40840368 01

rms 0.02 from 39 observations March 21.13 - March 22.18

The decrease in relative distance between the two payloads has virtually come to a halt and was ~50.5 km at epoch time of the above elsets.Orbital parameters are settling too, with the orbital period now very similarand the two orbital planes now about 0.2 deg apart in RAAN.
...

- Marco
-----
Dr Marco Langbroek - SatTrackCam Leiden, the Netherlands.
e-mail: sattrackcam_at_langbroek.org
...

tnt22

Ну вот, уже и на видео
Цитировать Dr Marco Langbroek‏ @Marco_Langbroek 4 ч. назад

I also video-ed a pass of the new NOSS 3-8 spysat duo (#NROL79) yesterday: https://youtu.be/IcrqyLUAgbU  (sats come in from top left)
https://www.youtube.com/watch?v=IcrqyLUAgbU&feature=youtu.be
NOSS 3-8 (NROL-79) payloads, 25mrt2017 2125UT
Video of the NOSS 3-8 duo (the payloads from the NROL-79 launch), two US Navy SIGINT spy satellites. Video taken from leiden, Netherlands, with a WATEC 902H